化学品与日常生活息息相关,市场上流通的化学品种类繁多,数量庞大。具有持久性(Persistence)、生物积累性(Bioaccumulation)与毒性(Toxicity)特征的化学品潜在威胁人体健康与生态环境,故此有必要筛选识别水环境中有高富集能力和高风险化学品。目前,关于化学品生物富集性的研究多聚焦于疏水性有机化合物,而对于商用化学品中占比庞大的离子型化合物却缺乏关注。离子型化合物在生物体内的分配不仅与化合物在脂质中的分配有关,还与它们和其他生物大分子(如蛋白质等)的结合行为密切相关。传统针对疏水性化合物构建的QSAR模型往往难以准确预测离子型化合物的生物富集性。
暨南大学游静教授团队选取8种理化性质各异的小分子药物为代表,以斑马鱼为模式生物,开展毒代动力学测试,探究了离子型化合物在斑马鱼胚胎中的吸收、消除与生物富集行为,以“交叉参照”的方式引入人体药代动力学参数─表观分布容积(VD),构建并验证了斑马鱼胚胎中离子型化合物的生物富集预测模型。2022年7月27日,该研究以“Human Apparent Volume of Distribution Predicts Bioaccumulation of Ionizable Organic Chemicals in Zebrafish Embryos”为题在线发表于Environmental Science & Technology。

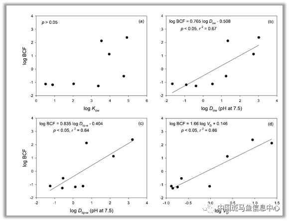
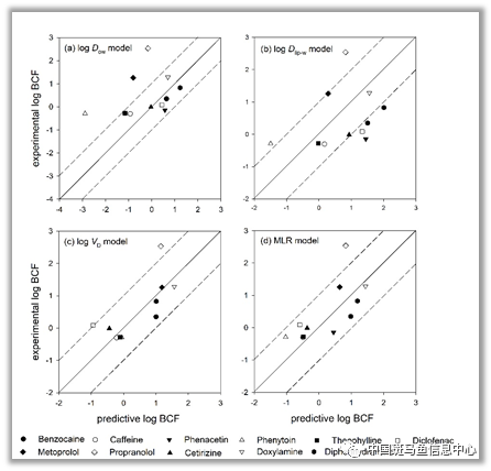
该研究显示在环境相关pH条件(pH=7.5)下,尽管大部分离子型化合物主要以离子态存在于暴露介质中,但其在斑马鱼胚胎中表现出快速吸收与快速消除,说明离子型化合物在离子态仍可被生物体利用。整体而言,目标化合物在斑马鱼胚胎中的生物富集潜力较低,生物富集因子(BCF)范围为0.0530−250 L/kg 湿重。进一步通过分析目标离子型化合物的理化性质与BCF之间的关系发现,人体药代动力学参数VD与BCF呈显著相关关系,显示了基于生物学的“交叉参照”方法具备有效性。此外,通过对比不同参数(表观辛醇-水分配系数Dow、表观脂质体-水分配系数Dlip-w、VD)构建的回归模型发现,VD回归模型更佳,说明VD比常规使用的疏水性参数Dow更适用于预测离子型化合物的BCF(图1)。对所构建的预测模型进行验证发现,VD回归模型、Dow与VD多元回归模型对离子型化合物BCF的预测准确度均高于Dow回归模型(图2)。该研究可加强对离子型化合物生物富集行为的理解,对离子型化合物的生物富集预测建模具有促进作用。

图1 目标离子型化合物的log BCF与log K、logow Dow、log Dlip-w及log VD的一元线性回归关系图

图2 4种不同参数模型(log Dow、log Dlip-w、log VD、log VD与log Dow)的预测log BCF与实测log BCF关系图
暨南大学环境学院游静教授和美国贝勒大学Bryan W. Brooks教授为论文通讯作者,暨南大学环境学院硕士研究生张玲为论文第一作者,暨南大学李慧珍副教授、硕士研究生刘芬、周志敏参与了该研究工作。据悉,该研究涉及的突变斑马鱼品系,将保藏至国家水生生物种质资源库国家斑马鱼资源中心。



