摘要:脑源性神经营养因子 (BDNF) 在神经元生长和分化、神经元可塑性、学习和记忆中起关键作用。 我们使用 CRISPR/Cas9 技术构建了一个重要的 斑马鱼Bdnf 基因敲除突变系,并对其进行了分子和行为表征。尽管在形态学检查中没有发现明显的缺陷,但与野生型同系胚胎相比,66% 的编码基因和 37% 的 microRNA 在 bdnf-/- 中存在差异表达。我们深入研究了生物钟通路,并证实了时钟(arntl1a、clock1a 和 clock2)和时钟控制(anaat2)基因的节律性表达的变化。通过行为测试验证了 Bdnf 对斑马鱼生物钟的调节作用,突出了 bdnf-/- 仔鱼缺乏昼夜活动节律。通过药物治疗可挽救部分昼夜节律行为。 这里介绍的 bdnf-/- 斑马鱼系是第一个有价值且稳定的脊椎动物模型,用于研究 BDNF 相关的神经发育疾病。

关键词:鱼仔鱼:bdnf基因敲除导致昼夜节律失调神经行为 分子神经科学 发育神经科学 细胞神经科学
简介: 脑源性神经营养因子(BDNF)是一种小的分泌性蛋白质,属于神经营养因子家族。自发现以来,BDNF一直被认为在中枢神经系统发育过程中对调节离散神经元群的分化和存活至关重要。通过结合两类跨膜受体(泛神经营养因子 p75 受体和原肌球蛋白相关激酶 (Trk) 家族受体)发挥作用,对 TrkB 亚型具有较高的亲和力。与这些分子的相互作用导致主要信号通路的激活,这些通路调节下游基因的表达,这些基因参与调节特定神经元靶细胞的生长、维持和存活。BDNF除了在神经系统发育中起到公认的作用外,还具有在学习和记忆过程中增强突触可塑性的功能。大量证据表明,BDNF 在长期增强中发挥关键作用,突触可塑性的一种形式被广泛认为是研究长期记忆形成的细胞模型。BDNF 还参与调节昼夜节律。 它在啮齿动物下丘脑的视交叉上核 (SCN) 有节奏地表达,BDNF 还参与调节昼夜节律。 它在啮齿动物下丘脑的视交叉上核 (SCN) 有节奏地表达,并在光夹带中起重要作用。迄今为止,关于BDNF作用的大部分可用信息都来自于在小鼠进行的研究,但整个情况尚未完全阐明。主要障碍是bdnf纯合子缺失的早期产后致死性。因此,所有结果仅限于杂合子动物,这些动物没有表现出明显的表型受损。BDNF在脊椎动物中非常保守,哺乳动物和鱼类之间的序列同源性较高(>90%)。虽然Bdnf和其他神经营养因子已经在斑马鱼中进行了研究,但它们在鱼类品系的机制层面上的研究却很少。最近,这种神经营养素在斑马鱼的大脑再生、食欲和新陈代谢中发挥了作用。与哺乳动物相比,在斑马鱼中有可能产生可行的敲除突变体。在这项研究中,我们使用 CRISPR/Cas9 技术产生了一个具有稳定且可遗传的纯合 40 碱基对 (bp) 敲除的 bdnf-/- 斑马鱼系,并分析了突变体与对照的转录和行为表型。我们观察到Bdnf突变体在游泳活动中表现出明显的缺陷,这与Bdnf在运动和学习等复杂行为中的既定作用一致。差异表达分析(RNA-seq 和 qPCR)揭示了与昼夜节律系统有关的关键基因表达的改变。 此外,在本研究中,我们旨在研究 bdnf 突变仔鱼体内的日常和昼夜节律活动。虽然突变体仔鱼的光夹带没有受损,但在持续的黑暗中,节律性强烈减弱,表明Bdnf在昼夜节律活动中的作用。有趣的是,我们还发现一些参与调节时钟基因表达的 miRNA 在突变体中表达不同。根据我们的研究结果,我们建议将 bdnf-/- 斑马鱼作为一种理想的脊椎动物模型,用于阐明 Bdnf 在复杂行为(如运动、进食和学习)以及抑郁和焦虑相关疾病中的作用。
斑马鱼bdnf-CRISPR/Cas9基因敲除:为了研究Bdnf在斑马鱼神经系统发育过程中的作用,我们构建了一个CRISPR/Cas9介导的敲除系,位于影响所有五种ORF基因亚型的起始密码子下游Bdnf第2外显子缺失40 bp。使用T7内切酶I(T7EI)检测从微量注射胚胎中提取的基因组DNA,评估针对所选区域的gRNA诱变的效率。F0突变鱼与野生型(wt)鱼杂交。 杂合种群 (bdnf+/-) 培育一代 (F2) 以减少嵌合体和意外的脱靶突变。使用T7EI分析和Sanger测序,我们验证了nova2基因中没有突变,这是CRISPR设计工具预测的唯一脱靶基因。F3 代反映了 25% bdnf+/+、50% bdnf++/- 和 25% bdnf-/- 鱼的孟德尔比率。对每种情况下的胚胎池总蛋白裂解物进行的Western印迹分析证实,Bdnf+/-鱼中的Bdnf蛋白水平约为Bdnf+/+对照组的一半,纯合Bdnf−/−中的Bdnf蛋白水平几乎消失。虽然我们没有预料到完整突变体的蛋白质裂解物中会有任何阳性信号,但我们在蛋白质印迹中观察到一条微弱的条带,这可能是由于母体 Bdnf 或异源抗 BDNF 抗体与其他神经营养因子的交叉反应。

图 1. bdnf-/- 斑马鱼系的生成
因此,我们得出结论是我们成功地建立了稳定的、可遗传的bdnf-/- 斑马鱼系。重要的是,在突变胚胎中未观察到发育过程中的形态异常和致死性。雄性和雌性突变鱼都能进入成年期,并表现出正常的繁殖成功率。
bdnf 敲除仔鱼的行为:除了已知在神经元、存活和分化中的作用外,BDNF还在突触可塑性的调节中发挥作用。因此,我们推测它的缺失可能会影响调节 bdnf 突变体运动活动的神经回路。 为了验证这一假设,我们测量了受精后 4 天 (dpf) 仔鱼对光刺激的反应。与bdnf+/+(n=32)对照仔鱼相比,突变仔鱼表现出运动缺陷,杂合子bdnf+/-(n=32)仔鱼的活性显著降低,纯合子bdnf−/− n=32)仔鱼的强烈运动抑制。通过三个参数来测量运动缺陷:光刺激后10分钟内的总行程、速度和旋转频率。与 bdnf+/+ 仔鱼所有三个测量参数相比,bdnf+/- 仔鱼的减少并不显著,而 bdnf-/- 仔鱼影响严重。此外,在测试期间斑马鱼在箱内路径的轨迹进行的分析表明bdnf−/− 仔鱼表现出明显的趋向性,,即动物倾向于避开箱的中心并趋向其边缘或外围移动 ,而 bdnf+/+ 和 bdnf+/- 仔鱼无明显边缘趋向。由于趋向性是动物中一个经过充分验证的焦虑指数,该结果也证实了Bdnf在斑马鱼应激相关行为中的作用。为了证明观察到的表型与 Bdnf 的缺乏有关,我们通过用 10 μM 的 7,8-二羟基黄酮水合物 (7,8-DHF)(一种合成分子)处理 22 hpf bdnf-/- 胚胎进行了药理学实验 通过激活其 TrkB 受体来模拟 Bdnf 的作用。对 7,8-DHF 处理的 bdnf-/- 突变仔鱼 (n = 32) 的行为测试表明,与 bdnf-/- 仔鱼 (n = 89) 相比,运动活动的恢复具有统计学意义。这些结果证实,Bdnf缺乏会影响斑马鱼仔鱼的运动活动和趋向性。

图 2. bdnf+/- 和 bdnf-/- 斑马鱼仔鱼的行为

图 3. bdnf-/- 斑马鱼仔鱼的药理试验测试
使用 RNA-seq 对 bdnf-/- 系进行差异基因表达分析:我们对 48 hpf bdnf-/- 突变体和 bdnf+/+ 胚胎进行了深度 RNA 测序 (RNA-seq)。每个样本平均产生 2800 万个短配对末端片段,其中大约 89% 被明确定位到斑马鱼基因组。我们使用 DESeq2 方法在 48 hpf bdnf-/- 突变体和 bdnf+/+ 胚胎之间鉴定出 2614 个上调基因和 1653 个下调基因,表明与 bdnf突变相关的显著转录差异。值得注意的是,参与神经营养途径的关键基因的不同表达水平的上调,例如Trk2a(主要Bdnf和Nt4/5受体)、Trk3a(Nt3受体)和p75(Ngf、Bdnf、Nt3、Nt4/5和Nt6/7的通用神经营养因子受体)。这一方面尤其具有吸引力,因为它可能表明,在bdnf缺失的遗传背景下,神经元存活途径(即Trk2a和Trk3a的上调)与死亡途径(即p75的上调)在发育过程中发生了必要的再平衡。为了深入了解差异表达基因的功能,我们对上调和下调基因进行了基因本体论 (GO) 富集分析。我们确定了与bdnf通路相关的几个类别,如神经系统发育和功能、光感受、游泳行为,以及有趣的生物钟。这些结果证实了bdnf突变系诱导转录组水平上的生物学变化。
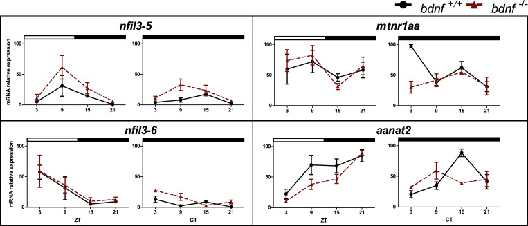
Bdnf 调节昼夜节律:为了验证转录组学分析的结果,我们研究了8 dpf 的bdnf+/+和bdnf−/−仔鱼在12:12明暗(LD)周期或恒定黑暗(DD)条件下时钟和时钟相关基因的表达模式。在突变仔鱼中,ZT9处arntl1a表达水平的增加被显著抑制。在DD条件下,正如预期的那样,bdnf+/+仔鱼保持了时钟控制基因表达的节律模式,并显示出光诱导基因per2和cry1a mRNA的显著抑制。相反, bdnf −/−仔鱼, clock1a和clock2的表达谱在24小时内出现失常。参与褪黑激素合成和调节的时钟控制基因在鱼类昼夜节律计时系统中也发挥着重要作用。aanat2是松果体中催化褪黑素合成的酶,其转录水平在光照期开始时较低,然后升高,在夜间(ZT21)结束时达到峰值。

图4. 斑马鱼仔鱼生物钟基因的昼夜表达水平

图5、斑马鱼仔鱼生物钟控制基因的昼夜表达水平
讨论:在这项研究中,我们研究了Bdnf在斑马鱼发育过程中的作用,通过使用专门编辑目标基因的最具创新性的技术CRISPR/Cas9系统产生40 bp敲除。在确认 bdnf 外显子 2 中的选定突变导致 Bdnf 丢失后,我们分析了与 bdnf-/- 突变体相关的转录和行为表型,揭示了参与调节昼夜节律的关键基因的损伤。目前,关于Bdnf在昼夜节律调节中的作用的数据很少。本工作中描述的实验使验证转录组分析的结果成为可能,因为不同光刺激条件(即 LD 或 DD 周期)下的行为测试证实了昼夜节律的改变。22hpf的bdnf−/−仔鱼经7,8-DHF处理发现当进行运动分析测试时,拯救部分突变表型,从而证实突变行为实际上是由于缺乏Bdnf蛋白。在动物模型中进行的体内实验再现了人类疾病的特定特征,为理解该疾病的发育起源提供了机会。在神经发育背景下,斑马鱼代表了一种强大的生物学工具,用于研究与遗传畸变相关的特定机制。在动物模型中模拟突变如何影响神经系统发育,对于突出抑郁症和焦虑等神经疾病的潜在机制至关重要,这些疾病与Bdnf缺乏或昼夜节律改变密切相关。因为bdnf在脊椎动物中高度保守,推导出斑马鱼氨基酸序列与哺乳动物的同源基因91%相似,我们假设在我们的突变鱼类中观察到的分子和行为表型可能会进行临床转化。以前的研究报道,小鼠bdnf突变体表现出负责运动、平衡和姿势控制的前庭神经节神经元减少。在小鼠模型中,阐明BDNF作用的一个主要障碍是纯合突变体在出生后的早期致死性,通常发生在出生后2天内;只有一小部分动物最多能活2-3周。到目前为止,所有可用的结果都来自于对杂合子动物的研究,这些杂合子动物已达到成年状态,并且看起来有生育能力。由于少量的BDNF可能能够发挥其自身的功能,因此完全敲除BDNF对于充分了解这种神经营养素发挥的许多生物学功能至关重要。构建的bdnf-/- 斑马鱼品系可以帮助弥补这一差距并提供新的见解。尽管我们对其生理学仍然知之甚少,但这里介绍的斑马鱼突变系能够存活到成年期,并且可能解释来自旁系同源基因所施加的“代偿网络效应”的激活,这些基因已被证明可以缓冲基因组编辑诱导的有害突变 。在 bdnf+/- 小鼠中,BDNF 在 SCN 中的显著抑制表达和 DD 中光诱导的运动活动表明这种神经营养因子在调节光夹带中起作用。在将外源性BDNF注入SCN改变对光脉冲的行为反应的大鼠试验中也获得了类似的结果。由于这一关键问题之前尚未研究过,我们还研究了Bdnf在斑马鱼生物钟系统中的作用。事实上,在突变体中,DD条件下的运动活动是失常的,并且通过药物治疗部分恢复了节律行为,证明了该模型的有效性。此外,DD 突变仔鱼中 mRNA 表达模式的差异表明 Bdnf 对 clock1a 和 clock2(昼夜节律反馈回路的两个正元件)以及编码催化褪黑激素合成的酶 aanat2 的调节作用。鱼类生物钟的一个要点是松果体有节奏地合成和分泌褪黑素激素。褪黑激素在夜间产生,其产生速度取决于 AANAT 的酶活性。夜间高褪黑激素水平反映了 AANAT 合成和活性的增加,而白天褪黑激素产生的终止反映了这种酶的蛋白酶体降解。总体而言,这些数据首次在 bdnf-/- 斑马鱼仔鱼中收集,为将 Bdnf 在昼夜节律中的多效性提供了一个新框架。 然而,需要进一步的实验来确定可以直接或间接将 Bdnf 连接到分子生物钟网络的中间因素。靶向Bdnf-TrkB通路下游的特定Bdnf信号成分对于揭示这一有趣分子的复杂作用是必要的。
总之,我们描述了第一个可行的 bdnf-/- 脊椎动物模型,该模型为神经营养因子的分子和细胞机制提供了独特的见解。我们证明斑马鱼幼体中的Bdnf对行为昼夜节律的产生至关重要,并能更好地进行人类神经发育和昼夜节律调节疾病临床转化。这项研究证实了 Bdnf 参与的众多途径,并且构建的斑马鱼突变系可作为未来研究的独特工具,旨在了解 Bdnf 在不同生物过程中的作用,如神经元发育和突触传递、视觉光感知、 再生和新陈代谢。
原文出自:Loss of circadian rhythmicity in bdnf knockout zebrafish larvae - ScienceDirect



