摘要:人参皂苷Rg3是人参中主要的甾体皂苷之一,具有多种治疗作用。在本研究中,我们通过分析荧光强度、总胆固醇(TC)和甘油三酯(TG)水平,研究了人参皂甙Rg3对高脂饮食(HFD)斑马鱼仔鱼模型中脂质积累的影响。还根据体长、体重、体重指数 (BMI)、苏木精-伊红 (HE) 染色、油红染色、定量 PCR、TC 和 TG 评估人参皂甙 Rg3 在 HFD 成年斑马鱼模型中的作用。此外,还测定了斑马鱼中能够将人参皂苷Rg3代谢为人参皂苷去糖基化酶人参皂苷Rh2和人参皂苷去糖基化原人参二醇的肠道细菌。结果表明,与高胆固醇(HC)组相比,人参皂甙Rg3给予的HFD斑马鱼仔鱼模型的局部躯干荧光密度降低。此外,Rg3 治疗组的 TC 水平显著低于 HC 组。然而,两组之间的TG水平没有显著差异。此外,Rg3可以改善HFD引起的相关影响,并使斑马鱼的体长、体重和BMI接近正常水平。肝脏HE和油红O染色显示肝细胞有明显的脂滴聚集和组织病理学变化。Rg3治疗可减轻这些变化。Rg3诱导脂质分解代谢相关和合成代谢相关基因的表达,其机制可能与胆固醇合成的下调和胆固醇转运的上调有关。这些结果反映了Rg3对脂质代谢的影响,表明人参皂甙Rg3可以减少脂肪积累,可能是预防肥胖的潜在药物。
关键词:人参皂甙Rg3 脂肪堆积 肥胖 斑马鱼
简介:人参皂苷Rg3是人参中重要的功能活性成分,本研究证实了其减肥作用。这项研究表明,Rg3可以被视为潜在的抗肥胖药物的候选治疗药物。这项工作将进一步促进人参及其相关产品的开发和应用。肥胖是一种医学疾病,体内多余的脂肪积累到可能对健康产生负面影响的程度,会增加患各种疾病的风险。大多数肥胖病例是食源性肥胖,例如由高热量食物或高脂肪和糖摄入引起的肥胖。 食源性肥胖易导致腹腔内脂肪组织堆积,形成脂肪肝。近年来,人们做出了许多努力来寻找和应用替代方法来减少肥胖的影响。对可能影响与肥胖、心血管疾病和糖尿病相关的生物体特定分子途径的天然生物活性化合物进行了研究。红参富含人参皂甙Rg3,一种原人参二醇皂苷成分。 该成分的药用特性,包括免疫调节、抗疲劳、抗糖尿病和抗癌作用已得到证实。人参皂苷 Rg3 在人参根提取物和浆果中的天然含量非常低,但可以通过传统方法在红参和黑参中增加,并通过酸或热处理或生物转化从甙元人参皂苷去糖基化酶原人参二醇 (PPD) 转化而来。研究表明,人参皂甙 Rg3 可减少附睾白色脂肪组织的大小、 降低肝脂肪变性、降低小鼠模型附睾白色脂肪组织和肝脏中的 TG 水平。Rg3 还降低肥胖小鼠肝脏 PPAR-γ、C/EBP-α 蛋白、肝脏谷胱甘肽还原酶和谷胱甘肽转移酶的表达水平。这些结果表明人参皂甙 Rg3 可能是一种潜在的抗肥胖剂。 Rg3 的抗肥胖作用已在小鼠模型中得到证实。斑马鱼的能量平衡调节与哺乳动物相似。斑马鱼是研究代谢疾病的有吸引力的模型系统,因为它们在脂质代谢、脂肪生物学、胰腺结构和葡萄糖稳态中的功能保守。之前报道过人参皂甙Rg3降低了高胆固醇饲料饲养的斑马鱼仔鱼的荧光水平。然而,人参皂甙Rg3对斑马鱼脂肪积累的潜在作用及其机制尚不清楚。在这项研究中,用Rg3给予斑马鱼仔鱼和肥胖成年斑马鱼。从实验研究中,我们发现人参皂甙Rg3减少了斑马鱼仔鱼的脂肪积累,使斑马鱼的体长和体重接近正常水平。同时,斑马鱼肠道粪便中人参皂甙Rh2和PPD的存在提示Rg3在消化过程中被肠道微生物转化。脂质代谢关键分子的变化为理解人参皂苷Rg3在分子水平上对脂肪积累的抑制作用提供了关键线索。这项研究表明,Rg3可以作为抗肥胖药物的候选药物。
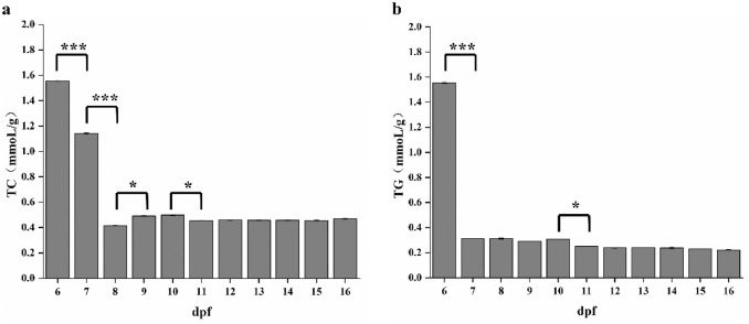
Rg3对喂饲HFD的斑马鱼仔鱼脂质积累的影响:如图2a所示,荧光密度最高的区域是腹部,主要包含内脏和肠道等器官。结果表明,该部位脂质积累最强。斑马鱼在大约5-7 dpf时开始进食。之前它们唯一的能量来源是胚胎卵黄。在发育的前 4 天,斑马鱼胚胎完全依靠卵黄囊获取维持其生长和生存所需的营养。当卵黄耗尽时,仔鱼必须进食以获得脂质。 以每克蛋白质含量进行组间比较,以消除个体间生长差异对测定的影响,结果见图2。考虑到喂食过程中TC和TG的含量在11 dpf之前没有显著变化,因此选择12 dpf作为喂食日。

图 1 、HFD 仔鱼斑马鱼 TC 和 TG 水平。

图 2. 给予人参皂苷 Rg3 对脂肪堆积的影响。
将含有 25、50 和 100 μg g - 1 人参皂甙 Rg3 和 HFD 的日粮给予 5 dpf 至 16 dpf 的不同斑马鱼仔鱼组,每天两次,持续 1 小时,以测试喂食 HFD 的斑马鱼对 Rg3 干预的反应。图 2a 显示了斑马鱼仔鱼的荧光显微镜图像。 该图显示,在饲喂人参皂甙-Rg3-胆固醇日粮后斑马鱼体内的胆固醇积累减少。检测 5 条斑马鱼仔鱼的 TC 和 TG 水平,进一步了解 Rg3 给予对胆固醇积累的影响。结果显示,Rg3组TC水平明显低于HC组。 但各组TG水平与HC组相比无明显下降。结果显示,尽管Rg3治疗组的体内荧光水平相对于HFD组有所降低,但两组之间的差异并不显著。斑马鱼肠道的末端被认为在左边。 比较不同组的局部干细胞的荧光密度发现,与HC组相比,Rg3-25和Rg3-100组局部干细胞的胆固醇积累显著降低。胆固醇是动物细胞生物合成的前体,对激素和胆汁酸很重要。然而,胆固醇过高是发生心血管疾病的主要危险因素,心血管疾病是导致健康状况不佳和死亡的主要原因。之前的实验已经证明,Rg3抑制3T3L1前脂肪细胞、棕色脂肪细胞和人类原代前脂肪细胞的分化,并减少成熟3T3-L1脂肪细胞中的脂滴积累和大小。这项研究的结果表明,Rg3 减少了 HFD 斑马鱼仔鱼模型中的脂肪积累。
Rg3对HFD诱导肥胖成年斑马鱼体重、体长和BMI的影响:成年斑马鱼用普通饲料、SD饲料、HFD或含Rg3的饲料(25、50和100μg/g) 饲喂40天,并对结果进行比较。测量了每组10条斑马鱼的体重和长度。如图3a-3c所示,随着摄食时间的延长,HC组斑马鱼的体长在第10-40天增加不超过5%。从第 10 天到第 20 天,体重显著增加了 20.9%。从第 20 天到第 50 天,体重增加相对缓慢。特别是从第 30 天到第 50 天,体重几乎没有变化。然而,第40天斑马鱼的体重最高。在第10天和第20天之间观察到有很大差异,增加了11.67%。与第10天相比,第20天的BMI呈小幅上升趋势,第30天后变化可忽略不计。第40天的BMI最大。 虽然第 50 天的 BMI 较第 40 天下降了 3%,但趋于稳定。 一般来说,HFD 对斑马鱼的体长几乎没有影响,但对体重有相当大的影响,从而影响 BMI。

图 3 、人参皂甙 Rg3 的抗肥胖作用
测量每组15条斑马鱼标本的体重和长度。 与 HFD 处理相比,Rg3 给予导致体长整体增加。Rg3-50 和 Rg3-100 组的体长增加尤为显著。Rg3-25 组相对于 HC 组体重减轻显著,但与其他组无显著差异。同时辛伐他汀对斑马鱼体长的影响比对体重的影响更显著。Rg3-25和Rg3-100组的BMI显著低于HC组,Rg3-50组的BMI接近正常组。这些结果表明,Rg3可以改善HFD引起的相关影响,从而使斑马鱼的体长和体重接近正常水平。
Rg3对HFD诱导肥胖成年斑马鱼TC和TG水平的影响:每10天采集10条斑马鱼血样测定TC和TG含量,评价HFD持续时间对高脂斑马鱼模型血脂水平的影响。结果表明, HFD 喂养 40 天后,最高血液 TC 水平达到 20.58 ± 58 ± 0.4 mmol/L。第20~40天TC水平明显升高,第30天TC含量为15.76±76±0.17 mmol/L,比第20天增加81.65%。第40天TC含量比第30天高30.55%。与前几天观察到的变化相比,从第 40 天到第 50 天的下降程度几乎可以忽略不计。HC组斑马鱼的血TG水平在第40天之前稳步上升,在第40天达到最高水平4.41±0.07mmol/L,然后在第40天之后略有下降。第40天的TG水平比第30天高33.40%,第20至30天的TG水平比第30至40天高24.32%。在第30天之后出现了显著差异。第 40 天后未观察到显著差异。 这些结果表明,高脂肪对斑马鱼血液中TG水平的影响小于对TC水平的影响。人参皂苷Rg3组TC、TG水平低于HC组。不同日粮喂养40天后,Rg3-100组血清TC和TG水平分别下降36.49%和29.97%;Rg3-50组分别增加17.93%和25.83%;Rg3-25组中分别增加13.16%和11.90%。以上两组数据的研究表明,人参皂苷Rg3可以降低血液中TC和TG的水平,发挥一定的降血脂作用。在 HFD 小鼠中,20(R)-Rg3 通过调节 MAPK 和 NF-κB 信号通路降低血清 TC、TG、LDL-c 和 HDL-c 的水平。Rg3 降低肝脏和 3T3L1 细胞中的 TG 水平。 在 Rg3 给予下,仔鱼和成年斑马鱼 TC 和 TG 水平的降低与在细胞和小鼠中观察到的一致。

图4、HFD和人参皂甙Rg3对斑马鱼血脂的影响。
人参皂甙 Rg3 在肠道内的转化:喂养40天后从Rg3给予组收集肠道内容物,以研究人参皂苷Rg3在肠道吸收前的代谢过程。样品用水饱和正丁醇提取三次。采用薄层色谱法检测人参皂苷Rg3的转化率。结果表明,斑马鱼口服Rg3后,Rg3可在胃肠道代谢为人参皂甙去糖基酶人参皂甙Rh2和PPD。人参皂甙和人参皂甙产品是口服的,它们的活性成分不可避免地会进入肠道。在从胃肠道吸收到血液中之前,这些成分可能会被肠道菌群转化。以往的研究结果表明,在大鼠粪便菌群代谢过程中,人参皂苷Rg3代谢为Rh2和PPD。20(S)-Rg3比20(R)-Rg3更容易吸收,具体而言,口服吸收后,20(S)-Rg3主要分布于小鼠肝脏和胃肠道,其在肝脏中的浓度高于在血浆中的浓度。需要对斑马鱼中Rg3的转化和吸收进行进一步研究。
Rg3 可防止 HFD 引起的肥胖斑马鱼中的脂质积累:肝脂肪变性是肥胖引起的病理的重要指标。 因此,研究了 Rg3 是否可以减少 HFD 诱导的肥胖成年斑马鱼的肝脂肪变性。用与人参皂苷或辛伐他汀混合的 HFD 喂养 40 天后获得肝脏样本,并观察肝脏的组织病理学。HC组HE染色显示肝细胞内脂质蓄积明显, Rg3和辛伐他汀治疗组可见少量脂肪泡,肝细胞排列规则。通过肝油红O染色进一步证实了Rg3的高胆固醇血症作用。 值得注意的是,用 Rg3 治疗 HFD 完全抑制了脂肪浸润。这一结果证实了Rg3抑制肝脏脂肪积聚的能力。此外,组织学HE和红油O染色数据显示,Rg3给予的斑马鱼的脂质成分低于HC组。为了进一步评估 Rg3 对肝脏脂肪堆积的性能,进行了油红 O 染色的阳性面积比进行定量分析。结果显示,Rg3治疗组的阳性面积比例低于HC组,但依赖性没有降低。 Rg3 的治疗改善了肝脏脂质积累。肥胖可引起肝脏脂肪变性,这是一个重要的指标。在这项研究中,Rg3给予的HFD斑马鱼模型显示,与HC组相比,肝脂肪变性减少,脂肪含量降低。

图5、Rg3引起的肝脏问题
HFD诱导肥胖成年斑马鱼肝脏mRNA的表达:HMGCR、LDLR、SREBP2、ABCG1、MTP 和 NPC1L1 是脂质调节中的主要转录因子。与HC组相比,人参皂苷Rg3显著降低斑马鱼肝脏中HMGCR mRNA的表达,Rg3-25、Rg3-50和Rg3-100组HMGCR mRNA表达水平分别下降0.05、0.03 , 和 0.24 倍。在40天的喂养期内,Rg3给予使Rg3-50和Rg3-100组SREBP2的mRNA表达分别上调4.26倍和3.62倍。LDLR 是一种参与胆固醇内吞作用的细胞受体。 从图中可以看出,与喂食HFD的相比,用Rg3给予的LDLR mRNA水平分别降低了0.26、0.03和0.07倍。Rg3诱导Rg3–50和Rg3–100组的MTP表达。Rg3-50组ABCG1的表达增加了2.78倍,Rg3-100组增加了4.22倍。 转运蛋白 NPC1L1 的表达在 Rg3-50 和 Rg3-100 组中显著上调。

图6、给予人参皂甙Rg3的斑马鱼肝脏的相对mRNA表达。
研究表明,SREBP2 的过表达增加了转基因小鼠中 HMGCR 的 mRNA 水平。 HMGCR调控的关键控制点是限速酶和他汀类药物的靶点。SREBP家族包括SREBP1a、SREBP1c和SREBP2,是脂质代谢的主要调节者。SREBP2特异性调节胆固醇稳态。胆固醇的吸收始于NPC1L1。研究表明,肝脏NPC1L1在胆汁中吸收胆固醇的过程中起着关键作用。
结论:Rg3 是一种从人参中提取的三萜皂苷和主要活性化合物,可为人类提供多种潜在的健康益处。 Rg3可用于治疗代谢综合征。研究了人参皂甙对脂肪细胞和小鼠的减肥作用。在本研究中,研究了Rg3对HFD诱导的斑马鱼肥胖的影响。研究结果表明,Rg3 减少了喂食 HFD 的斑马鱼仔鱼的脂肪积累。HC组的荧光强度增加,而Rg3给予组的荧光强度以剂量依赖性方式显著降低。Rg3治疗增加了体重,但对体长没有显著影响。Rg3给予降低高脂血症成年斑马鱼的TC和TG水平。HE和油红O染色显示,Rg3给予可调节肝内脂滴的积聚和肝细胞的组织病理学变化。此外,这项研究的结果表明,Rg3 在成年斑马鱼的肠道中转化为 Rh2 和 PPD。 有必要对斑马鱼血液、组织和器官中 Rg3 的吸收、代谢和积累进行进一步研究。这项工作的观察结果有助于阐明给予Rg3用于肥胖预防或治疗的潜力。



