摘要:当眼部疾病被局部治疗时,治疗的成功关键在于靶组织中有效的药物浓度。这就是为什么药物的药代动力学需要在药物开发过程中更精确地探索。本研究的目的是用兔模型描述在选定的眼组织和体液中滴眼后药物的分布。
方法:我们开发和验证一个群体药代动力学(PopPK)模型,利用每个眼前段组织和兔眼液新型酪氨酸激酶抑制剂(fv-60165)在其中的浓度(泪,鼻泪管,角膜和房水)。评价个体间变异和制剂的影响(溶液或混悬液)。
结果:模型结构选择的眼睛是一个4室模型,对眼泪和鼻泪管之间的一级速率常数作为一个重要的协变量。该模型显示出良好的预测性能,每次分析包括每种动物的眼睛的每一个子结构后,估计单次或多次给药后的浓度-时间曲线。
结论:这种分析可以描述兔眼睛的前体药物灌注溶液或混悬液在不同组织和体液中的药物分布的。
关键点:这项研究显示了用群体方法来描述局部用药后眼科药物非临床研究中药代动力学的好处。药代动力学模型是一种特别附加值,可以为稀疏数据提供量身定制的答案。为了提高模型的预测性能,必须对采样计划进行优化。当数据可用时,这种方法可以预测靶组织(眼下部结构)中药物浓度和药物效能。
简介:眼睛是一个精致的器官,受到解剖、生理和全身循环(血水和血视网膜屏障)的保护。由于这些特点,局部用药后临床相关药物浓度几乎无法进入靶眼组织。局部给药是治疗眼前节疾病的首选途径,最常用于局部治疗。该方法无创、无痛苦,具有疗效快、剂量小、不引起全身不良反应等优点。局部生物利用度由于角膜前的损耗因子增加药物的清除而受限。所有这些因素都导致局部药物应用的低生物利用度和低分布,通常认为只有5%或更少的注入剂量能有效地通过角膜分布。考虑眼部复杂解剖及其动态生理保护,描述眼部靶组织的药代动力学是一个重大挑战。在药物开发过程中,人体的药动学通常是在每一次操作或静脉给药后通过不同时间采样血浆进行评估。但是,对于具有局部治疗效果的局部眼道给药,一般位于眼睛内的靶组织不能被取样。这就是为什么要使用动物模型研究眼组织中药物的分布。这些模型的眼部特征允许外推到人的药代动力学。兔子仍然是评价眼科化合物的首选品种,因为这种动物易于操作,并为评价眼动力学提供了一个相对可靠的模型。我们正在开发一种新的酪氨酸激酶抑制剂(fv-60165,药物)用于角膜新生血管,其由单纯疱疹病毒感染引起的间质性角膜炎的并发症。为了提高药物的生物利用度,我们保留了前药策略,设计了亲脂性前药。由于其亲脂性,前药(fv-80228、药)能穿透角膜上皮细胞并通过酶水解为活性的亲水性化合物(药物)。然后药物被释放到基质中,通过扩散到达眼球前房。在开发过程中对两制剂(溶液或混悬液)进行了研究。本研究的目的是开发和验证一个群体药动学模型,能够预测药物在选定的眼部组织和体液中的浓度。计划评估所有模型参数的个体间变异性。这种方法在临床药效学发展阶段,对疗效方面和安全性方面是有帮助的。
材料与方法:药物(fv-60165)具有以下物理化学特性:MW = 450;LogP = 4.7和LogD= 2.5, pH 7.4。前体药物(fv-80228)具有以下物理化学特性:MW = 554;LogP = 6.5和LogD= 4.3,pH 7.4。前药比药物更具亲脂性,从而能穿透角膜上皮,酶将其水解为活性亲水化合物。
使用方法:42只HY79b兔(体重约2-2.5Kg)。给动物施用前药前,所有的动物都被单独安置在一个有温度控制的动物设施中,12小时的光/夜循环,并且可以免费获得食物和水。对两种制剂进行了评估。将家兔随机分为两组:组1(21只)接收溶液和组2(21只)接收纳米混悬剂。每只兔收到两30?l滴入两眼睛(第一和第二滴时间间隔为10分钟),相应的总剂量为720微克/每动物。校准调节微管装滴眼液一次性滴到眼睛下结膜囊。观察动物的整体健康和局部耐受性。
采样计划:在预定的时间间隔给药后,动物(n = 3每采样时间和每个配方)氯胺酮/甲苯噻嗪(25或5毫克/公斤)肌肉注射麻醉,动物处死前,从每只兔的左右眼泪液分泌撕裂带处收集泪液,通过心内穿刺取血,并放入抗凝管中。分别于0.083、0.25、0.5、1, 2, 4、8 h采血,采血后立即处死家兔。动物处死后,每只动物的两只眼睛被摘取并解剖,获取不同眼的子结构。每一眼样品有角膜、房水、玻璃体、视网膜和巩膜脉络。同时,鼻泪管是从颅骨分离出来的。采集后,将眼部标本冷冻保存,解冻后进行分析。得到泪液、鼻泪管、角膜和房水药物灌注后兔眼的药物浓度-时间点。从每个动物的每一个眼睛的基质中药物浓度计算药动学参数。
群体药代动力学分析:不同的组织(泪,鼻泪管,角膜、房水)被认为是不同组成部分。由于它的生理学,每只眼睛都被视为个体。
药理统计模型(PSM):对模型许多的配置进行了测试,例如,一级速率常数或房室间的间隙,不在鼻泪管药物清除,不存于角膜的药物清除。对于纳米混悬剂的配方,两个动力学的管理情况进行纳米混悬剂(1)零级动力学在眼泪中管理,在这种情况下,它会允许估计在眼泪的纳米混悬剂的溶解时间。考虑公式的唯一方法是将它作为有关模型参数的二元协变量进行检验。使用常数系数变化(CV)或比例误差模型评价个体间变异(η)。评价完整的非对角矩阵(ω块)和η相关性的不同组合。ω块是建立在目标函数值减少的基础上。许多算法只通过一个或一个组合进行了测试。鉴于当前模型的复杂性和多室结构,评价几个微分方程求解器。模型的选择是根据眼睛结构的知识进行的,最小化的状态,协方差阶段,大于0.95的参数估计之间没有相关关系,对参数的估计标准误差的检查,最终参数估计的有效位数。最好的药理统计模型是基于最低OFV和拟合优度检验,群体和个体的加权余量法。
局部给药操作:局部给药后,药物的分布分析。鉴于这一事实,最多只有10ul能保持(使用剂量的1/3),基于已知的巨大个体间变异性。前药给药后出现在眼泪中的药物也被评估。
协变量的筛选:在目前的分析中唯一可用的相关协变量是公式协变量。这种协变量被测试的所有主要参数溶解在眼泪,分布于鼻泪管和角膜。参数变量关系的意义是OFV降低至少3.84。
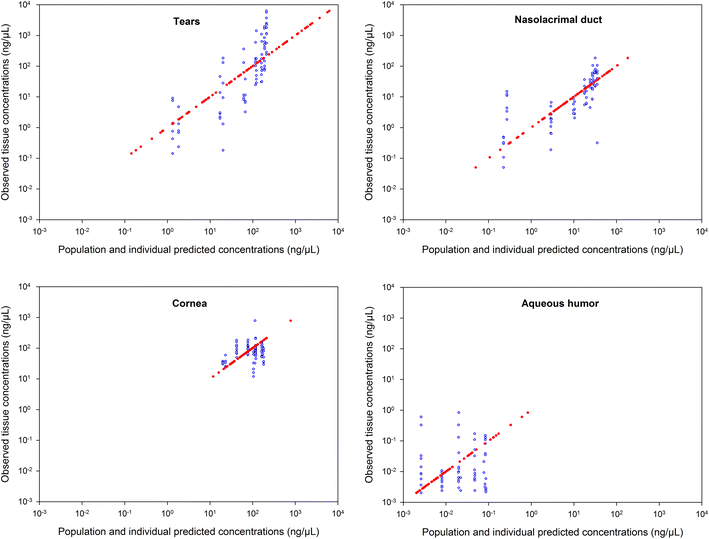
最终的模型验证:根据所选择的最终模型中保留的方法,计算出标准误差参数的估计值。平均预测误差及其相关的95%CIs也进行了评估。预测校正视觉预测检查(PcVPC)被用来评估各组织间的最终模型的性能。该方法是基于1000个pcVPC仿真模型的数据和观测数据设计的。对每个兔眼进行模拟预测。在每一个部位,使用单个预测的模型参数,计算出完整的浓度-时间曲线。
结果:眼组织及体液样本大部分的药物浓度低于血浆中的LLOQ,,除了眼泪,其前药药物浓度高。正如预期的那样,这些结果显示前药在泪液和角膜中迅速水解成药物。总共收集了336种组织药物浓度值。纳米混悬剂药动力学在泪液中零级和给药的解决方案没有成功。这就是为什么这个配方被描述为两种制剂的眼泪丸给药。模型得到的结果质量是不能令人满意的:RSE %对鼻泪管分布容积(V2)为52%。因此,制定了所有有关模型参数的协变量和保留从眼泪鼻泪管一级速率常数的结构模型(K12)如下:k12 = θi × FORMULATION + θj × (1-FORMULATION). 这个选择提高了模型的质量标准(RSE % V2 = 39.3%,平均σ值= 107%),选择比例误差模型描述个体间的变异性。所有的模型参数(F1、K12、K13,V1,V2,V3,V4,Clnl,Q,和claH)。这一发现与生理学一致(即,与角膜组织相比,房水是一种流体)。所有的ω块测试被选择,因为它们没有导致模型的任何改进。最终的模型是PSM模型,能保证模型的稳定性和更高的质量标准。
结论:我们开发和验证的PopPK模型描述局部给药后在兔眼前段的不同组织中的药物的药代动力学。如果优化的药代动力学取样方案和相关的安全性和有效性数据可用,这种方法可以预测靶组织中药物浓度,评价疗效和/或安全性(例如,靶组织中药效学变量的变化)和确定协变量对特定人群组织分布的影响。
Final model: population parameters
Parameter
Estimate
% RSE
[95% CI]
Mean prediction error (%); [95%CI]
|
F1 | 0.300 | 6.65 | [0.260; 0.340] | 21.7 [10.4; 33.1] |
k12(h−1) nanosuspensions | 0.259 | 12.1 | [0.197; 0.322] | −25.0 [−29.6; −20.4] |
k12(h−1) solution | 0.299 | 12.6 | [0.224; 0.375] | −25.0 [−29.6; −20.4] |
k13(h−1) | 0.340 | 5.28 | [0.304; 0.376] | 2.53 [−1.23; 6.29] |
Q(µL/h)a | 0.136 | 19.8 | [0.0821; 0.190] | 32.2 [−2.45; 66.37] |
Clnl(µL/h)b | 275 | 9.87 | [220; 329] | 20.5 [−17.7; 58.7] |
Clah(µL/h)c | 231 | 9.58 | [187; 274] | 13.8 [5.09; 22.5] |
V1(µL) | 155 | 16.4 | [104; 206] | 39.7 [17.6; 61.9] |
V2(µL) | 1.24 | 39.3 | [0.266; 2.22] | 93.1 [−11.0; 196] |
V3(µL) | 42.8 | 5.54 | [38.1; 47.6] | 0.220 [−2.74; 3.18] |
V4(µL) | 218 | 14.5 | [155; 282] | 29.4 [2.98; 55.7] |
| Estimate (%) | CV % | [95% CI]—shrinkage % | |
Inter-individual variability |
F1 | 60.5 | 17.6 | [48.7; 70.3]—1.97 |
k12 | 80.0 | 18.3 | [63.8; 93.6]—91.5 |
k13 | 45.3 | 16.7 | [37.0; 52.3]—59.7 |
Q | 172 | 17.3 | [139; 199]—17.8 |
Clnl | 90.5 | 16.7 | [73.9; 104]—19.2 |
Clah | 92.0 | 16.9 | [74.9; 106]—74.4 |
V1 | 153 | 17.0 | [124; 177]—47.4 |
V2 | 437 | 18.4 | [347; 511]—60.6 |
V3 | 51.1 | 18.2 | [40.8; 59.7]—98.5 |
V4 | 265 | 18.6 | [210; 311]—81.8 |
Residual variability | |
σ | 0.491 | 107 | [NA; 0.871]—99.8 | |



