原发性肝癌(primary liver cancer,PLC)是我国癌症死亡的主要原因之一,包括肝细胞癌(hepatocellular carcinoma,HCC)、肝内胆管癌(intrahepatic cholangiocarcinoma,ICC)和混合型(combined HCC-ICC,cHCC-ICC),因其发病隐匿,进展快,导致80%的患者就诊时已是晚期,五年生存率仅为19%。早筛早诊对于预防肝癌和提高肝癌患者的生存率至关重要,在过去几十年中,虽已引入了新的成像技术和血清学标志物检查来提高诊断能力,然而,许多技术对于PLC筛查并不是最佳的,并且它们的应用受到不同因素的限制,因此目前的研究聚焦于开发出简便快捷的早期筛查方法。
细胞外游离DNA(cell-free DNA,cfDNA),是指细胞凋亡和坏死后,释放入血的DNA片段,因而cfDNA携带原始组织细胞的遗传表观信息,为液体活检中的实体肿瘤诊断提供了安全、简捷、微创等优势。
近日,复旦大学附属中山医院樊嘉院士、周俭教授和王征教授团队,使用肝癌患者的血浆cfDNA样本进行了低深度的全基因组测序(whole-genome sequencing,WGS),基于片段组学的机器学习,建立了肝癌早筛模型,该模型区分肝癌和非肝癌的曲线下面积(area under the curve,AUC)高达0.995,在98.8%特异性下灵敏度高达96.8%,显示出优异的预测性能。该研究成果目前已发表于肝脏病学顶刊Hepatology(图1)。

图1. 研究成果(图源:Hepatology)
本研究在2019.06-2020.12期间,共招募716名受试者,包括原发性肝癌(PLC)患者381例和非肝癌对照335例(乙肝和/或肝硬化高风险人群104例,健康人群231例)。根据受试者临床病理特征,按照1:1分为训练队列(N=362例)和验证队列(N=354例),两个队列中肝癌亚型 (HCC、ICC和cHCC-ICC)的分布和真实世界中的比例一致。分别收集受试者的血浆cfDNA样本进行低深度的WGS,获得了cfDNA片段组学特征。然后,对cfDNA片段的两个相关特征,即:片段大小分布(Fragment Size Distribution,FSD)和片段大小比值(Fragment Size Ratio,FSR),在训练队列中进行机器学习,并构建了三种基本的子模型,经检验有效后整合出肝癌早筛模型,进而在验证队列中对其进行系统验证(图2)。

图2. 研究和队列设计示意图(图源:Hepatology)
研究结果显示,肝癌早筛模型的预测性能优越。在区分肝癌和非癌方面,AUC高达0.995,在98.8%特异性下灵敏度高达96.8%;对于肝癌和肝硬化/乙肝高风险人群,显示性能仍优越,特异性达96.1%;对于肝癌和健康人群,体现出更佳的预测性能,特异性可达100%(图3)。

图3. 使用验证队列来评估模型的性能(图源:Hepatology)
研究人员将模型在临床亚组中进行了验证,结果发现,对于不同的病理类型,肝癌早筛模型的预测性能仍优异:检测HCC的敏感性达96.2%,而检测ICC和cHCC-ICC的敏感性均高达100%。同时,该模型在极早期肝癌(TNM IA期/BCLC 0期/CNLC Ia期)、甲胎蛋白阴性(AFP<20ug/L)、低总胆红素(TBIL)、低白蛋白以及小肝癌(<3cm)中均有优异的预测性能(图4)。与传统的肝癌生物标志物AFP(AUC 0.781)相比,此模型(AUC 0.985)显示出更好的预测性能,能有效提升筛查效果。

图4. 肝癌早筛模型在肝癌不同临床亚组中的预测性能(图源:Hepatology)
虽然该模型使用的测序深度已低至4X,为了能继续降低筛查成本,研究人员将样本测序深度依次减至3X、2X、1X和0.5X,结果显示,早筛模型在超低测序深度测序下保持了一致的优异性能。即使测序深度降至1X时,肝癌筛查模型在区分肝癌和非癌的AUC也可达0.994,在98.8%特异性下灵敏度高达93.7%(图5)。

图5. 肝癌早筛模型在降低测序深度时的预测性能(图源:Hepatology)
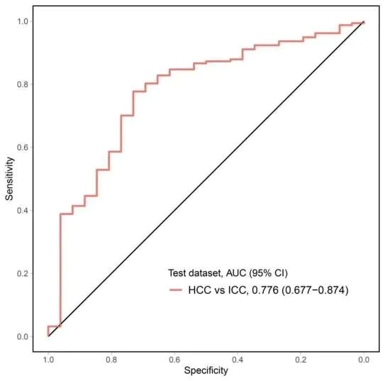
PLC的两种主要组织学类型,HCC和ICC分别约占所有肝癌的75%和12-15%,因为这两种疾病在治疗上有着显著差异,所以区分HCC和ICC在临床上也很重要。最后,研究人员使用验证队列中的HCC(N=159例)和ICC(N=26例)样本进行验证,区分HCC和ICC的AUC达0.776,显示出该肝癌早筛模型在区分HCC和ICC上有潜在的临床应用价值(图6)。

图6. 肝癌早筛模型区分HCC和ICC的性能(图源:Hepatology)
本次中山医院团队构建的肝癌早筛模型荣登肝脏病学顶刊Hepatology(影响因子17.4),在短时间低成本的条件下即可实现高特异性和敏感性,为液体活检尽早推广应用于临床肝癌早筛提供了有力证据,更为其他癌症的早筛早诊奠定了坚实的基础。
参考资料:
[1]Zhang X, Wang Z, Tang W, et al. Ultra-Sensitive and Affordable Assay for Early Detection of Primary Liver Cancer Using Plasma cfDNA Fragmentomics. Hepatology. 2021 Dec 25. doi:10.1002/hep.32308.



