在创伤后应激障碍(PTSD)中,激活情感记忆的经历被很好地保留了下来。各种各样的证据表明,这些记忆的重新激活使它们变得不稳定,这为干预提供了潜在的时间窗口。我们在非人类灵长类动物中测试了在恐惧记忆重新激活过程中服用氯胺酮是否会影响被动(抑制)回避学习。为了巩固情境情感记忆,采用不可逃避的足部电击范式,在两个隔室(黑暗与照明)进行被动回避任务。在进入暗室后,绒猴在15分钟内接受了四次随机足部电击(1毫安,4秒)。这种应激性暴露增加了唾液皮质醇和心率,损害了快速眼动睡眠。一周后,猴子们再次暴露在该应激环境中,以重新巩固这种可怕的经历。在再暴露期间,用氯胺酮(0.5mg/kg)或生理盐水治疗猴子。在第3周,将猴子置于实验环境中,以测试他们对恐惧经历的记忆。与避开黑暗隔间的经生理盐水处理的猴子相反,氯胺酮处理过的猴子进入了先前与恐惧经历有关的黑暗隔间。对海马体的分析表明,氯胺酮治疗的动物在齿状回中表现出较少的双皮质素阳性神经元和BrdU标记细胞。这项研究表明,在猴子恐惧恢复中给予的低剂量氯胺酮可降低背景恐惧记忆并减弱海马神经发生。
关键词:PTSD 情绪记忆 氯胺酮 非人灵长类 神经发生 恐惧
简介:氯胺酮越来越广泛地用于治疗各种精神疾病,包括创伤后应激障碍(PTSD)。氯胺酮特别是在PTSD的情绪记忆处理中的作用机制尚未完全了解。创伤后应激障碍是一种使人衰弱的疾病,可能在战斗,殴打,虐待或自然灾害等创伤经历后发展。DSM-5以创伤后应激障碍为特征,表现为对创伤事件的生动记忆、闪回和噩梦、对提醒线索的回避、过度觉醒的焦虑和睡眠障碍。失眠、快速眼动睡眠障碍和噩梦是最明显的症状之一。与过度兴奋有关,PTSD的特征是肾上腺素能增强,心率变异性降低,使身体处于唤醒状态。然而,创伤后应激障碍最重要的特征是对创伤经历的强烈记忆和大脑无法控制获得性恐惧。恐惧和情绪激动性记忆的形成被认为取决于突触功能的变化以及长期增强(LTP)的机制。N-甲基-D-天冬氨酸受体(NMDARs)的激活对于诱导LTP至关重要,因此,靶向NMDARs会影响恐惧记忆的获得。NMDARs在突触可塑性和记忆形成中起着关键作用的观点证明了靶向这些受体是否能有效地减少恐惧记忆,如PTSD。因此,非竞争性NMDAR拮抗剂氯胺酮可能是减少恐惧表达的一种有趣的候选药物。 首先,氯胺酮减轻了啮齿类动物的抑郁症症状,并防止了长期应激引起的结构改变。在手术中用作麻醉剂时,氯胺酮可以降低创伤后应激障碍的患病率。为了将啮齿动物的发现转化到临床,绒猴是一个合适的动物模型。应激处理涉及的机制与人相似。 神经解剖学研究表明,海马中神经递质受体类型的区域分布有许多相似之处,其中猕猴比大鼠更像人类。在灵长类动物中,PFC的进化解剖和功能组织相对保存得很好。这使得猴,特别是狨猴,对创伤后应激障碍情绪记忆的转化研究很有价值。此外,猴子像人类一样,是昼夜的,睡眠阶段与人类的相似,与白天睡眠不完整的啮齿动物相反。在这项研究中,在猕猴记忆恢复中测试了单次低剂量氯胺酮对恐惧记忆,心率,皮质醇水平和睡眠的影响。此外,还检测了齿状回的神经发生,这与辨别安全环境中的厌恶和恐惧的普遍化有关,这是创伤后应激障碍的一个标志,以及海马结构的结构变化。本研究旨在探讨氯胺酮对创伤后应激障碍患者情绪记忆的治疗作用。
试验设计:对于不可避免的足部电击,使用带有两个隔室(黑暗与明亮)的被动回避装置来测量情绪/恐惧记忆。 用两种标记物检测了对神经发生的影响:5-溴-2'-脱氧尿苷(BrdU)用于新生细胞的存活,以及双皮质素(DCX)用于新生细胞的成熟。在研究开始之前,对动物进行了训练,使其自愿进入运输管,然后被运输到位于隔壁房间的被动回避装置。这个处理是由一个动物管理员完成的。在实验开始之前,所有的猴在4天内都适应被动回避装置10分钟,并训练它们执行唾液采样所需的动作,持续三周。将动物随机分为治疗组和对照组(N=6/组)。这项研究分为三个实验阶段,每组两只猴子接受测试。每个实验周期为三周。

图1、创伤后应激障碍模型中被动回避任务中不可逃避的足部电击模式。该装置由一个由滑动门和一个电网地板连接的明室和暗室组成。猴子在有照明的隔间里进入被动回避测试室。一分钟后门就开了。仅在第1周(巩固)期间,门在进入黑暗隔间后关闭,以便在15分钟内进行四次随机不可逃避的足部电击(0.5 mA,4 s)。在第2周(再巩固),猴子在再次暴露在应激情形之前,猴接受了治疗。在第3周(随访阶段),猴在没有足部电击的情况下重新体验应激情景,通过记录进入暗室的潜伏期来测量对应激情境的记忆。箭头指示猴可以选择的方向。在有两个箭头的情况下,猴子能够在门保持打开的情况下向两个方向切换。
第1周:在被动回避测试中,通过不可回避的足部电击程序巩固情绪记忆。 在第一天的行为观察中,在饲养笼中进行唾液采样和EEG / ECG测量。在第二天,在被动回避测试后重复第一天的测量。在测试之前,所有动物皮下注射BrdU(200mg/kg)。第三天的程序与第一天相同。
第2周:在被动回避测试中重新巩固情绪记忆。 程序与第1周类似,只是可以避免足部点击。 在第二天的巩固试验之前,立即肌内注射氯胺酮(0.5 mg / kg)或生理盐水(i.m.)。
第3周:随访期间,与第一周相同,但没有足部点击,两个隔间之间的滑动门保持打开。测量从开门到进入另一个隔间的潜伏期,最长10分钟。在第3天最后一次测量之后,猴子在麻醉下被安乐死,以分离大脑进行组织学检查。临床观察由动物管理员进行。睡眠脑电图由外部睡眠专家分析。皮质醇在另一个实验室进行了盲法分析。
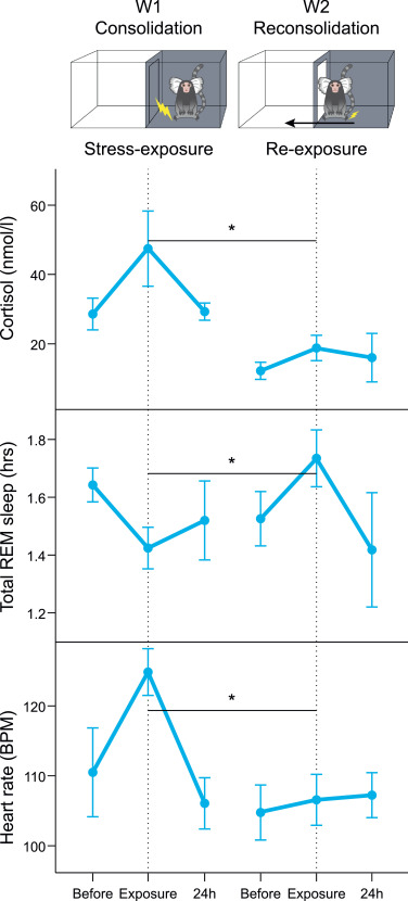
结果:对应激相关参数的影响:与基线评分相比,两组的临床评分均未受影响。在未经治疗的对照组中,第一周的足部电击后的唾液皮质醇水平显著高于第二周的再次暴露(没有足部点击)。心率(BPM)也同样。正如预期的那样,在应激暴露后的第一个晚上,REM睡眠总量较低。

图2、应激暴露对唾液皮质醇水平、REM睡眠时间和心率的影响。
对记忆的影响:图3显示了氯胺酮对被动回避任务中恐惧记忆的影响。在第一周,所有猴立即进入黑暗的隔间。在第二周,所有猴都记得进入黑暗隔间的厌恶效果:平均花费6.7±2.1分钟,它们进入了黑暗隔间。在第三周,在接受生理盐水或氯胺酮治疗一周后,测试了对情绪记忆的影响。经过生理盐水治疗的猴在第3周基本避免进入黑暗隔间。氯胺酮治疗的猴子进入黑暗隔间的速度明显更快(4.6±1.8分钟)。

图3、被动回避任务对情绪记忆的影响。
对神经发生的影响:图4显示了氯胺酮单次注射对记忆再巩固的影响,及在治疗一周后对海马DG中DCX+和BrdU标记神经元的影响,其分别反映年轻的未成熟神经元和新生细胞。小于Q1 – 1.5 * IQR或大于Q3 + 1.5 * IQR的数据点被视为异常值。 氯胺酮组中的一只动物是离群值,因此被排除在分析之外。在SGZ和GCL中发现BrdU阳性(BrdU+)细胞。与氯胺酮治疗的猴相比,生理盐水对照组的猴BrdU+细胞表现出相当大的变化。DCX染色也有同样的结果。对于BrdU+细胞,尽管氯胺酮治疗的猴的DG中BrdU+细胞的数量有减少的趋势,但实验组之间没有发现显著差异。由于大多数切片中BrdU+细胞的数量非常少,因此在分析中没有区分SGZ和GCL。另一方面,在氯胺酮治疗的猴中观察到DCX+细胞的显著减少。

图4、低剂量氯胺酮治疗一周后海马的脑组织学
结论:尽管目前的药物有助于缓解抑郁症和焦虑症的相关症状并控制睡眠障碍,但迫切需要针对PTSD病理生理学中更多基本过程的早期有效干预措施。尽管研究人员努力开发更有效的治疗方法,但PTSD仍然难以治疗。患者接受多种治疗方式,如各种形式的心理治疗和药物治疗。在缺乏新化合物的情况下,氯胺酮被认为是治疗创伤后应激障碍的一种新方法,其主要作用是影响巩固记忆和突触连接。在巩固期间给予单一低剂量氯胺酮可减少氯胺酮治疗一周后的被动回避测试中恐惧记忆的表达。这种氯胺酮治疗也减少了海马的神经发生,这可能会影响新神经元连接的形成,可以解释氯胺酮如何影响再巩固过程。这项研究为氯胺酮作为创伤后应激障碍创伤记忆靶点的潜在候选药物提供了重要的发现。
原文出自:Ketamine treatment upon memory retrieval reduces fear memory in marmoset monkeys - ScienceDirect



