
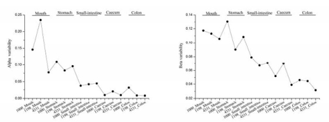
不同消化道部位 alpha 及 beta 变异性的大小。变异性越小,群落稳定性越大。
鼠兔是小型野生的草食性动物,属于兔形目,和家兔、野兔是近亲,主要分布在亚洲,美洲以及欧洲。在中国,大部分鼠兔分布在青藏高原及周边地区。其中高原鼠兔和达乌尔鼠兔是两个较为普遍的物种,高原鼠兔主要分布在海拔 3000m 以上的青藏高原,达乌尔鼠兔生活在 1000m 左右的内蒙古草原。 在草原上,它们每天摄食大量的草(每只成年鼠兔摄食量约为体重的一半),这可能和草原的降解退化息息相关。草在鼠兔体内的消化依赖于消化道微生物的作用,目前对鼠兔消化道不同部位微生物群落多样性、相互关系以及生态系统稳定性尚不清楚。中国科学院成都生物研究所李香真研究团队研究了高原鼠兔和达乌尔鼠兔口腔、胃、小肠、盲肠和结肠微生物群落的多样性和相互关系,并探讨了每个消化道部位微生物群落的生态系统稳定性。研究发现,比起其他区域,主要的食物发酵器官——盲肠和结肠有更高的肠道微生物多样性,不同肠道区域的肠道微生物结构显著分化。网络拓扑学分析发现,鼠兔盲肠的微生物正相关关系比例较少,显示了盲肠微生物群落有更少的合作关系以及更高的功能冗余性。根据生态模型,发现盲肠有着较高的生态系统稳定性。这为盲肠对难消化的植物多糖的发酵提供了有利条件,并确保了鼠兔对摄食的大量草的消化和降解。该研究为高原动物消化道微生物多样性、功能以及生态适应性研究奠定了基础。相关研究成果以 Gut region influences the diversity and interactions of bacterial communities in pikas (Ochotona curzoniae and Ochotona daurica) 为题,发表在 FEMS Microbiology Ecology 上。研究工作得到了国家自然科学基金,四川省科技项目以及中国生物多样性监测网络基金的支持。https://academic.oup.com/femsec/article-abstract/doi/10.1093/femsec/fix149/4587903?redirectedFrom=fulltext#supplementary-data


