社会文化传统中的性别歧视已经屡见不鲜,但是你关注过实验动物中的性别歧视吗?
在生物医学研究中,很多研究者常常只选择单个性别的动物进行试验(通常为雄性),很少有研究者同时进行双性别的试验,一方面增加了实验成本和实验量,另一方面可能会出现较大的试验偏差;目前还没有一个统一的标准进行划分是否需要进行双性别试验,这就导致大部分试验结果是基于一个性别试验得到的(大多为雄性),而对于雌性则缺少很多相应的试验结果,这是一个奇怪的现象,难道说科学界也存在性别歧视?
Gaeller et al (2006)提到只有13%的医学试验是按照性别分析的;
Yoon et al (2014)关注到22%的试验并没有明确指定动物性别,而80%的试验只做了雄性动物;
Beery & Zucker(2011)提到通常的实验动物都是雄性,即使收集了两性实验数据也并没有按照性别进行分析。
然而,大多数常见疾病在流行率、病程、严重程度和药物反应方面均表现出性别差异;而在大部分临床治疗中大多治疗方案都是同一种药物,差别仅仅在于剂量和用药时间,其中并未考虑到病人性别差异带来的影响。
美国国立卫生研究院(NIH)早在2014年就提出增加雌性试验,并将试验结果按性别分析,要求将性别作为一个生物变量。

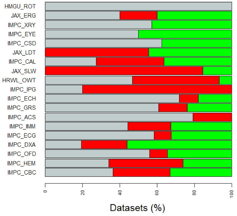
不可否认,性别差异确实存在,但是这种差异到底有多少呢?国际小鼠表型分析联盟(IMPC)给出了他们当前的分析数据.


显而易见,雌性和雄性实验小鼠在各项实验中确实存在着差异;那么由此引发出一个思考,如果在药物研发及临床试验阶段没有考虑到性别差异,是否会出现因为性别差异而引发的不良反应或是副作用呢?这难道不能说是一种性别偏见吗?而这些偏见目前正在发生;所以增加性别分析,这是一个必要而且十分迫切的问题。
科学的道路上需要严谨的思考和认真的态度,不该存在任何歧视,有的只是客观的分析和不断探索的脚步。



