
疾病动物模型是研究人类疾病发生发展机制、药物筛选及疗效评价必不可少的工具,好的疾病动物模型可以加快新药的研发速度。你还在为不知道选择什么小鼠模型发愁吗?你还在为造模发愁吗?赛业生物新栏目《每周一鼠》上线啦,每周更新,为大家讲解一个疾病小鼠模型的故事,希望对大家了解不同的疾病小鼠模型有所帮助。今天第一期内容和大家见面的是小鼠胆总管结扎致肝纤维化模型。
模型简介:
胆汁淤积是指肝内外各种原因造成胆汁形成、分泌和(或)排泄障碍,导致胆汁不能正常流入十二指肠,从而返流进入血液的病理状态。胆汁淤积性肝病按发生部位可分为肝内胆汁淤积和肝外胆汁淤积。肝外胆汁淤积主要以胆总管结扎为主,需要在十二指肠上方进行中段剖腹手术和胆总管的分离,然后对胆总管进行双重结扎并在结扎线之间进行断开。
作用机理:
胆管结扎造成肝外胆道梗阻,从而引起胆管扩张和胆汁淤积。当胆道内压力进一步增高,肝内胆小管扩张破裂,肝内血管受扩张胆管和胆汁外渗的双重压迫,肝细胞发生缺血和坏死,纤维组织大量增生,包围肝小叶并散布于肝细胞周围,最终可引起肝硬化。
模型特点:
此方法成熟稳定、操作方便、造模时间短、成功率高。
手术操作:
第一步:打开腹腔,暴露胆管。
第二步:分离胆总管,预置结扎线。
第三步:对胆管进行双重结扎并剪断,脏器复位
术后表征:
1. 体重:小鼠术后3天体重普遍下降2-4g,术后2周个别小鼠(约20%)出现消瘦弓背现象;
2. 表皮:小鼠术后即体表出现黄疸现象,包括耳朵、尾巴和皮肤;
3. 尿液:小鼠术后尿液发黄,变得偏浓稠;
4. 解剖:术后2周见小鼠胆囊充盈、胆总管扩张,肝脏表面出现黄色斑点状,疑似肝内胆小管扩张破裂。
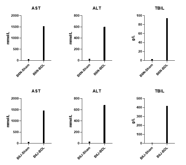
5. 肝功能检测:血清颜色偏黄,丙氨酸氨基转移酶、天门冬氨酸氨基转移酶和总胆红素指标升高至对照组的数十倍。

上图为模型组和对照组肝功能指标AST、ALT、TBIL的数据对比



