
大家好,我是一只来自邦耀实验室SPF级动物房的基因编辑小鼠,听实验室的哥哥姐姐们说现在外面已经30多度的高温了,在外面呆几分钟就能汗流浃背。虽然我没有汗腺,但是光想象一下就觉得鼠生艰难啊…不过上完最后一节课就要放暑假,去一个新的环境、参与完成一项伟大的实验了~但是我们中有的是短途货车出行,有的是长途跨省出行,据说这其中还有很多学问呢!求知欲强的我决定好好查阅文献科普一下。
小鼠作为最重要的模式生物之一,近年来需求量越来愈大,特别是随着基因编辑技术的发展,使得基因修饰的小鼠成为了科研的必备工具,各个科研单位之间合作交流日益广泛,使得小鼠运输需求不断增多,其中既包括第三方机构定制的模型鼠,科研合作者赠送的动物,甚至不乏来源于国外的实验动物。然而实验动物运输会遇到诸多问题,如运输后小鼠体重骤减,皮毛粗糙无光泽,食欲下降,甚至出现意外死亡等现象,这都让我们科研者心疼不已。运输造成的影响不仅妨碍实验动物的身心健康、降低其福利水平,且干扰实验对象的一致性,对获得的实验数据造成影响,因此实验动物的运输问题值得我们重视起来。
01 首先,必须重视实验动物运输与福利

关于实验动物运输与福利,国际上早有明确的运输规定,规定内容包括了对动物运输车辆、运输物种、生理阶段、年龄和性别、运输时间、食水供应、福利保障等,以及对于动物运输前准备、运输过程中的防护以及人员培训等方面都提出了一些要求和规范:
1. 如AVMA 要求在动物运输过程中有专业人员陪同,对于相关人员需提供专业培训等[1];
2. AAALAC指南Guide 中,单独列出动物运输章节,对于动物运输前准备、运输过程中的防护和福利保障以及人员培训等方面都提出了一些要求和规范;
3. 国际兽医局对于动物运输中动物的饮水、食物和运输包装盒、安全等方面也有明确的规定和指导[2];
4. 国内在动物运输方面的法规相对起步晚,但目前已经有很多相关法规对动物运输设备,工具及饮食等方面作出了要求。
02 了解小鼠运输过程的应激反应

何为应激?即在运输过程中因为外界因素的刺激导致实验动物出现不适反应的情况。
引起因素:如运输过程中的装卸、运输时间、禁食禁水、运输笼盒、环境温度等外界条件造成小鼠出现恐惧与疼痛、饥渴、疲劳、通风不良、过度拥挤等,进而引发动物发生的应激反应。
表现症状:动物应激反应会表现为体重下降、攻击性加强、心跳和呼吸频率加快、脱水及对疾病的抵抗力降低,严重时可影响动物的质量,甚至导致动物在运输途中衰竭死亡。并且在不同运输阶段会有不同变化:
● 运输初期:在恐惧、疼痛、关禁、拥挤等应激因子的刺激下,表现不安、狂躁和敏感性增高,或畏缩、颤抖和咬包装盒(箱)等;
● 运输后期:逐渐适应后,动物安静下来、对环境表现出冷漠,对正常刺激不反应等;
● 运输结束后:动物饮食饮水减少或废绝、疲乏衰弱、腹泻或排便减少、脱水,若仔受刺激,甚至导致疾病无法恢复、死亡等。
举例:体重下降
Sunghak Lee等人以676只3-9周的大小鼠为研究对象,在最优的条件下(规定的温度,装载密度及运输环境等)运输时间约为24h(包括自打包小鼠--拆包装的时间),小鼠平均体重下降约0.9%,而大鼠会更加敏感,平均体重会下降3.71%。多种小鼠品系之间C57BL/6小鼠变化最为明显,与ICR小鼠下降0.5%相比,C57BL/6平均下降4.69%。提示近交系小鼠相比封闭群小鼠对于应激更加敏感。文章也提到运输引起的体重下降是不可避免的,不过一般大小鼠体重下降约5%是没有太大影响,如果运输时间长、路途远、包装密度大体重消耗可能达到10-15%左右,需要注意。

大小鼠运输过程中体重变化[3]
除了体重,还有一些不易被观察到的生理变化:
如研究表明,短途运输会引起小鼠代谢、神经内分泌系统和免疫系统的功能均发生广泛而显著的变化,有文献报道BALB / c小鼠和ICR 小鼠,经1. 5 h 运输后,小鼠血糖( GLU) 、外周白细胞总数( WBC) 、血清中皮质酮( CORT) 、白细胞介素2( IL2) 和β-内啡肽( β-EP) 均会明显降低。不过在72h之内会逐渐恢复。

小鼠运输后各个指标的变化[4]
03 那如何降低应激,保证小鼠运输福利呢?

运输过程中,大小鼠不可避免地会出现应激反应,我们可以从以下几个方面考虑降低应激反应:
1. 包装箱要求
包装箱选择上,一般市内短途运输可以选择内衬细铁丝网格的硬纸板箱,如果运输时间较长需选择外衬瓦伦纸或钙塑材料的铁丝箱盒或塑料箱盒。使用前需仔细检查铁丝笼或内衬细铁丝网是否有凸起倒刺,以防扎伤动物。例如小型啮齿类有专用运输箱,确保充分换气和防止外面微生物污染。

小鼠专用纸包装箱和塑料箱
2. 装载密度
运输时注意降低运输箱盒中动物的密度,保证动物舒适地站立、躺卧或转身,可减轻应激反应。例如规格450×250×160 mm的小型运输箱内放入的小鼠总量最好不超过10只,规格600×400×200 mm的大型运输箱内放入的小鼠总数最好不超过20只。如果运输的小鼠周龄较大或者在饲养过程中观察到好斗的品系,可酌情降低密度。
3. 饮食与环境
运输箱盒中填充足够的垫料,至少保证垫料完全覆盖铁丝笼盒或塑料箱盒的底部。冬季运输时除了适当增加垫料之外,还可以向运输箱盒中添加纸屑,棉垫等筑巢材料。运输前还需在运输箱中放置足量的饲料,例如全营养果冻,也可使用普通琼脂果冻代替,为动物提供水分和营养。中国国标则要求运输时间超过6 h 以上需要提供饮食和水,提供食物和饮水不仅补充营养和水分,也是缓解动物紧张情绪和应激反应的手段。

添加垫料和饮食的小鼠箱子
4. 运输时间控制
减轻动物应激的一项重要措施就是缩短运输时间,利用配备有温湿度监控与调节装置的专车或飞机运送。如果需要远距离航空运输,夏季最好选择清晨或夜晚的航班,如遇高温天气建议将发货安排延后;冬季最好选择白天的航班。如果安排货车陆运,最好保持车内温度25℃左右并且注意换气通风,运输过程中尽量避免装有动物的运输箱盒直接暴露在室外环境中。
5. 路途颠簸和震动
运输过程中不可难免会使动物面对不熟悉的环境和声音。一些不适当的操作可能会使动物恐慌。因此装卸时轻拿轻放,避免野蛮操作,运输时选择平坦道路,避免急停急开,尽量降低颠簸和震动。
6. 特殊小鼠品系特殊对待
如对于一些免疫缺陷小鼠,有专门的包装箱。例如,Charles River实验室的运输盒(如下图)就是为运输免疫缺陷大小鼠模型而开发的,其设计亮点在于有两个塑料微型隔离笼,安装在特殊的打捞筒中,塑料笼顶部的过滤器在提供充足气流的同时也能避免空气中的微粒进入、对小鼠健康造成影响。

免疫缺陷小鼠专用箱[5]
04 贴心tips

1. 夏天高温季节可以运输小鼠吗?
可以,但是必须要求运输过程的每一个环节,特别是温度要控制好,一般需采用全程空调来运输;空运一般会走晚上的航班。否则小鼠很容易发生死亡。
2. 如何确定空运或陆运?
一般会选择专业的运输公司负责,根据路程的长短、气温高低选择不同的交通工具,如:飞机、火车、汽车。例如从上海发往周边地区浙江、江苏等,会安排陆运运输;如从上海发往北京、广东、武汉等较远的一二线城市一般走空运;需要注意的事,稍微偏远的城市要考虑当地机场的配置(没有含氧仓飞机)和机场管控(不允许往外运输活体动物),出现此类情况需要用专车将小鼠运输到附近其它城市去走空运,这样成本就会比较高。
3. 孕期小鼠可以运输吗?
不建议长途运输怀孕后期和哺乳中的母鼠,以防发生流产或食仔。幼鼠如需长途运输,最好等离乳饲养至4周龄以上再安排发运。
4. 运输后小鼠可以直接用于实验吗?如不可以,需要多久?
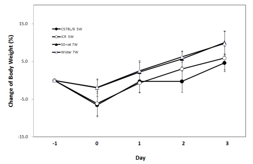
不可以,需要给予足够的适应期来从运输应激中恢复。为了检查动物体重从运输应激中恢复的时间,研究人员对小鼠和大鼠的体重进行了同龄测定,并对体重变化作出描述。研究中的小鼠到达目的地后立即转移至具有适宜温度和湿度的饲养设施,小鼠体重在第二天开始恢复,三天后几乎就可以达到之前的正常水平了[6]。

大鼠与小鼠运输前后体重变化[3]
5. 动物如何有效并快速恢复?
在补充能量和水分的基础上,选择有抗应激作用的氨基酸和维生素制成的凝胶状营养补充剂,并采用运输同步干预方式观察,结果表明营养干预缩短了应激小鼠WBC和血清GLU、β-EP、IL2水平恢复至正常水平所需时间。由此得知,在运输过程中适当添加凝胶可以有效缓解小鼠的运输应激,且达到补充能量、营养等目的。
6. 运输后的动物,需要检疫才可以进入动物房吗?
一般经过运输的小鼠不能直接进入SPF级动物房,需要进行送检,若无特定病原菌感染,即需要保证健康来源的前提下,方可送入动物房。
7. 哪些小鼠不能直接运输?
接种了有害物质(例如人类病原体、致癌物等)不能在正常情况下运输。这种动物被认为是危险的。如必须运输需申请特殊许可并具备运输条件。
长期以来,实验动物在运输过程中多处于条件较差的环境中,人们在观念上对于动物在运输过程中的应激反应影响实验结果的现象没有给予足够重视。但是随着生命科学的发展,研究领域对于实验动物质量提出了更高的要求,只有减少动物运输过程中的各种内外部条件影响,才能保证实验动物自身的健康,以及减少对实验数据、结果的影响。
参考文献:
[1] A report from the American Veterinary Medical Association Animal Air Transportation Study Group.Schaumburg, IL: AVMA,2002.
[2] Guide for the Care and Use of Laboratory Animals[M]. Eighth Edition,2010.
[3] Lee S H, Nam H, Kim J S, et al. Body Weight Changes of Laboratory Animals during Transportation[J]. Asian-australasian Journal of Animal Sciences, 2011, 25(2): 286-290.
[4] 胡樱,杨斐. 小鼠短途运输应激及其营养干预的研究[J]. 实验动物科学. 2012 29(3): 15-19.
[5] Maher J A, Schub T. Laboratory Rodent Transportation Supplies[J]. Lab Animal, 2004, 33(8): 29-32.



