摘要:本文综述了我们对灵长类动物(包括人类视网膜)的最新认识,主要集中在双极细胞、无长突细胞和神经节细胞及其连接性。首先,在研究视网膜疾病的无创成像方法方面的最新进展意味着,更好地了解灵长类动物的视网膜正成为基础科学和临床科学的重要目标。 其次,转基因小鼠越来越多地用作人类视网膜疾病的动物模型。因此,了解灵长类动物和啮齿动物的视网膜在多大程度上具有可比性是很重要的。我们首先比较了灵长类和啮齿动物视网膜的细胞群,重点是中央凹(尽管它很小)如何支配灵长类视网膜的神经。接下来,我们总结关于灵长类动物视网膜中受体后神经元群体的已知知识和未知知识。灵长类中双极和神经节细胞的清单现已接近完成,包括约12种类型的双极细胞和至少17种神经节细胞。灵长类神经节细胞在整个视网膜上显示出明显的树突区域大小差异,并且其形态与小鼠视网膜神经节细胞的形态也明显不同。与双极细胞和神经节细胞相比,无长突细胞表现出更高的形态多样性:它们可以包括40多种类型。许多无长突类型在灵长类和小鼠之间似乎是保守的,但是在任何灵长类动物或非灵长类动物的视网膜中,只有少数无长突类型的功能被了解。无长突细胞似乎是猴和小鼠视网膜研究的最前沿。
关键词:人视网膜 非人灵长类视网膜 小鼠视网膜 双极细胞,无长突细胞,神经节细胞
简介:近年来,光学相干断层成像(OCT)、自适应光学和广域成像等非侵入性方法在研究人类视网膜疾病方面取得了重大进展。因此,了解灵长类动物(包括人类)的视网膜已经成为一个重要的科学目标,并且具有很高的临床相关性。此外,20世纪70年代转基因小鼠的发明使得人们利用小鼠模型来研究视网膜疾病并了解特定基因的作用。这一进展使我们有必要了解如何将在小鼠身上获得的发现转化为人类的发现,以及小鼠和灵长类动物的视网膜在多大程度上具有可比性。本文综述了灵长类视网膜细胞类型和细胞回路的研究进展。视网膜研究的主要实验模型是旧世界猿猴,例如猕猴,我们讨论的许多数据都是从这些物种获得的。我们还考虑了从人体视网膜的事后研究获得的数据,以及从绒猴的研究获得的数据。 绒猴是体型小(体重<500克)日间活动的灵长类动物,视力与人类相当(绒猴的眼睛是人眼的5/8,绒猴的中心凹约为人类的一半),近年来,随着转种系基因表型研究的进展,绒猴作为一种理想的非人灵长类动物模型正逐渐被人们所接受。我们在这里对所有这些灵长类动物的关注点是双极细胞、无长突细胞和神经节细胞及其连接性。
鼠和灵长类动物的视网膜有一个明显的区别,那就是大小的不同。扁平的小鼠视网膜直径约为5毫米,普通的绒猴视网膜直径约为20毫米,人视网膜直径约为40毫米。因此,每个群体的细胞总数都有很大的差异,例如C57/BL6小鼠的视网膜有640万个视杆细胞和18万个视锥细胞,而人类视网膜的视杆细胞和视锥细胞的平均数量分别是前者的14倍(9200万)和25倍(460万)。因此,无论是小鼠还是人类,光感受器的95%以上都是由视杆细胞构成。

图1、灵长类和啮齿动物视网膜的比较。小鼠、绒猴和人视网膜整块标本的图像。 黄斑(黄色)位于绒猴和人的颞视网膜中,视神经被切断,在视网膜中央形成一个洞。 颞(t),鼻(n),上(s),下(i)。
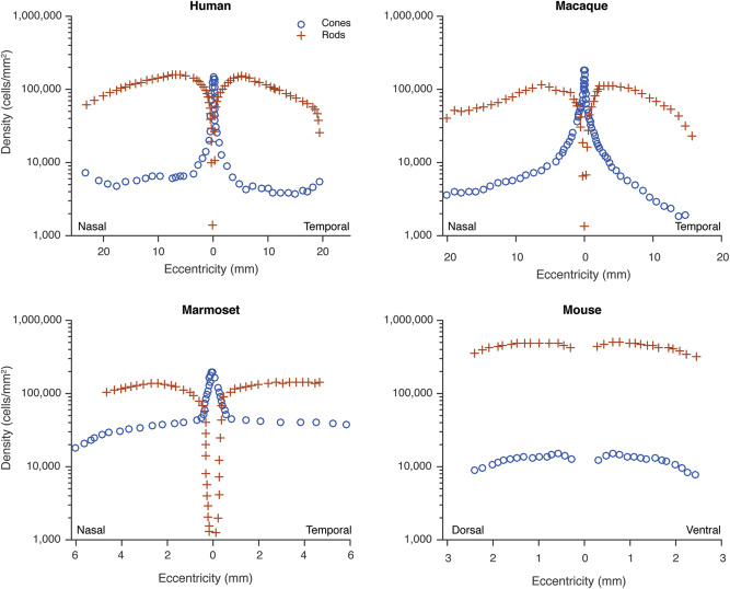
啮齿动物和灵长类中心凹动物的视网膜除了整体大小的差异外,还有一个显著的差异,那就是光感受器的密度梯度。在人类(图2A)、猕猴(图2B)和绒猴(图2C)视网膜中,视网膜上的视杆和视锥密度显著变化,即在中央视网膜视锥占优势,而在周边视网膜视杆占优势。视网膜中心凹的视锥密度峰值约为200000个细胞/平方毫米(从100000到344000个细胞/平方毫米不等),而周围的视锥密度则下降到小于5000个细胞/平方毫米。相反,在距中心凹约4-5 mm处,视杆细胞峰值密度约为176000个细胞/平方毫米,中心凹周围的视杆细胞密度降至4000个细胞/平方毫米以下。猕猴和猕猴中心凹的视锥密度相当,但在猕猴中心凹周围视网膜的锥体密度仍高于人或猕猴。

图2 人、猕猴、绒猴和小鼠的视杆和视锥细胞密度。A人 B 猕猴 C绒猴 D小鼠
与灵长类动物不同,在小鼠视网膜中,视杆和视锥分布均匀,只有轻微的密度梯度,没有中央凹。视杆细胞的密度(平均400,000,范围300,000至500,000个细胞/ 平方毫米)比灵长类动物视网膜的密度高得多。整个小鼠视网膜的平均视锥密度也高于灵长类外周视网膜视锥细胞密度。除了光感受器数量和密度的差异外,啮齿动物和灵长类动物之间的其他视网膜细胞也有很大的差异。例如,人的视网膜平均大约有100万个神经节细胞,这些神经节细胞集中在视网膜中央,在那里它们形成多达八层,在外围变薄为一层。因此,人类中央视网膜和周围视网膜之间的神经节细胞密度变化了100倍,大约50%的神经节细胞位于中央凹中心半径4.5毫米内。相比之下,一只鼠的视网膜上有大约50000个神经节细胞,平均密度为3300个神经节细胞/平方毫米。在整个啮齿动物视网膜神经节细胞排列成一个单层(图3C),其密度变化仅为4倍。

图3 .灵长类和啮齿类动物视网膜的比较。
尽管啮齿动物和灵长类动物之间存在这些差异,但哺乳动物视网膜的基本组织在灵长类动物的中央视网膜和周围视网膜之间以及灵长类和非灵长类动物之间是保守的。主要细胞种类(杆状细胞、锥状细胞、水平细胞、双极细胞、无长突细胞、Müller细胞和神经节细胞)的胞体排列在由两个突触层隔开的三个核层中。外核层(ONL)被视杆核和视锥核占据,内核层(INL)容纳水平细胞、双极细胞和无分泌细胞以及Müller(放射胶质)细胞的胞体。神经节细胞层(GCL)包含视网膜神经节细胞,其轴突形成神经纤维层。 在外丛状层(OPL)中,感光体接触双极和水平细胞。 在内丛状层(IPL)中,双极细胞通过带状突触向神经节细胞和/或无长突细胞提供输出。无长突细胞是双极细胞、其他无长突细胞和神经节细胞的突触前细胞,接受双极细胞和其他无长突细胞的输入。神经节细胞是无长突细胞和双极细胞的唯一突触后细胞。
灵长类动物视网膜的特征
白天活动的灵长类动物视网膜的一个重要特征是中央凹:一个特殊的区域,具有很高的视力。其特征是高密度的受体和受体后神经元。为了能够比较不同大小的眼睛,将距中央凹的距离(以毫米为单位)转换为视角(视网膜放大倍数)。由于不同灵长类动物的中心凹绝对大小相似。
表1.中心凹大小

表1人的视网膜放大系数为~0.3 mm/度,猕猴为~0.2 mm/度,狨猴为0.125 mm/度
中央凹的特征是高密度视锥细胞,无视杆细胞和其他视网膜层。中央凹的中心几乎完全被视锥细胞的内部和外部部分以及它们的核占据,而它们的轴突形成了Henle纤维层。内核层和神经节细胞层中的突触后神经元从中央凹的中心移开,并且两层的厚度在第一毫米偏心率范围内增加。

图4、中央凹是灵长类视网膜的一个特殊区域。A: 用抗短波视锥蛋白和核标记DAPI(蓝色)的抗体处理人视网膜中央凹中心垂直截面的共焦图像。B: 用抗视紫红质抗体标记视杆细胞(紫红)和蛋白激酶C标记DB4和杆状双极细胞(白色)处理猕猴中央凹垂直切片的共聚焦图像。中心凹中心没有视杆细胞。

图5、大多数细胞类型在中央凹中心缺失。
许多灵长类动物有三色视觉,而大多数其他哺乳动物有二色视觉。灵长类动物的三色视觉是基于三种类型的锥形光感受器的存在,它们在可见光的短波长、中波长和长波长范围内具有峰值灵敏度。绒猴和其他大多数新大陆猴子具有色觉的性别关联多态性,其中所有雄性均为二色视觉,而大多数雌性均为三色视觉。

图6、视锥光感受器突触末端的结构
水平细胞
灵长类视网膜中有两种水平细胞,分别命名为H1和H2。最近对水平细胞的连接性和生理学进行了综述。这里我们只简单地总结了H1和H2细胞已经建立的锥连通性。在所有被研究的灵长类动物(包括猕猴、人和绒猴)中,水平细胞类型都非选择性地接触M和L型视锥体。如上所述,H1细胞只与S视锥细胞稀疏或无接触,而H2细胞与S视锥细胞有紧密的树突连接和轴突连接。这些连通性差异反映在水平细胞的生理结构中:H1细胞从M-和L-型视锥体获得混合输入,而S型视锥体的功能输入可忽略不计,而H2细胞从S,M和L型视锥体获得组合输入。结果表明,水平细胞对视锥细胞和双极细胞的抑制性反馈具有光谱选择性。因此,水平细胞负责在视网膜的第一个突触处产生空间和色彩对立。

图7、灵长类视网膜的水平细胞连接。
不同哺乳动物S型视锥细胞和水平细胞之间的连接模式不同,尽管这些差异的功能意义尚不清楚。
双极细胞
双极细胞是视网膜中数量最多的中间神经元,包括一种杆状双极细胞和多种锥状双极细胞。杆状双极细胞仅与杆状接触,而不同类型的锥状双极电池则形成截然不同且特征性的锥状接触。

图8、灵长类视网膜双极细胞类型示意图。
无长突细胞:
无长突细胞是脊椎动物视网膜中最多样的细胞类型,也是最不为人所知的细胞类型。大多数无长突细胞的细胞体在核内层,而一些(GABA能)无长突细胞的细胞体在GCL。无长突细胞的突起多在IPL中,但也有一些突起进入外丛状层。
神经节细胞
神经节细胞是视网膜的输出神经元。 迄今为止,在灵长类动物视网膜(包括旧世界和新世界物种)中至少已经识别出十七种神经节细胞的形态类型。在分子水平上,使用基因表达谱分析在猕猴视网膜中区分了16个黄斑中心凹和18个外围神经节细胞簇,初步结果表明在人和绒猴视网膜中具有可比的神经节细胞簇。
结论:在灵长类和非灵长类哺乳动物之间,双极细胞类型的数量似乎相似。但是还不清楚跨物种的同源性,以及双极细胞的连通性的保守程度。虽然对主要神经节细胞群的响应特性所基于的形态和双极连接有很好的认识,但是关于低密度神经节细胞类型的双极连接知之甚少,无长突细胞与任何神经节细胞类别的连接细节仍然不明确。无长突细胞是视网膜中最多样化的中间神经元,在哺乳动物中其形态和分子特征在很大程度上是保守的。
原文出自:https://www.sciencedirect.com/science/article/pii/S1350946220300161



