近日,高福院士团队联合深圳儿童医院麻晓鹏、中国科学院微生物研究所赵欣,在《柳叶刀》子刊 The Lancet Regional Health - Western Pacific 上发表了题为:Long COVID facts and findings: a large-scale online survey in 74,075 Chinese participants 的研究论文。
这是迄今为止国内最大规模的“长新冠”(Long COVID)调查研究,调查分析了74075名中国居民在过去一年里的新冠感染情况及长新冠症状。

该研究通过对74075名中国参与者的大规模在线调查,旨在明确调整防控策略后中国长新冠的流行病学特征,并揭示其影响因素,为中国和全球的COVID-19研究提供有价值的见解。
研究团队回顾性调查了74075名中国居民1年以上SARS-CoV-2感染状况和长新冠症状。采用多元逻辑回归和倾向性匹配分析基线特征、疫苗接种情况、病原感染与长新冠的关系。
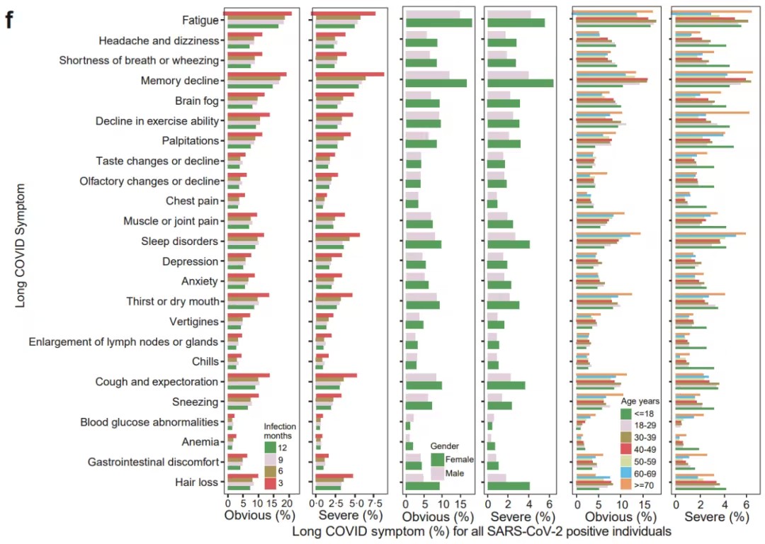
对68200份有效问卷的分析显示,约10%-30%的人曾经历了一种或多种长新冠症状,最常见的长新冠症状包括疲劳(30.53%)、记忆力下降(27.93%)、运动能力下降(18.29%)和脑雾(16.87%)。只感染过一次的人出现长新冠症状的比例较低——疲劳(24.85%)、记忆力下降(18.11%)、运动能力下降(12.52%)。

该研究还发现,女性更有可能经历长新冠,不同年龄组的症状不同,但睡眠障碍和肌肉/关节疼痛这些症状在老年人中更常见。中国北方地区居民的长新冠患病率较高,可能与温度梯度有关。
长新冠的危险因素包括基础疾病、饮酒、吸烟、急性感染严重程度。二次感染与较轻的症状相关,但导致了较高的长新冠发生率和严重程度。接种疫苗,尤其是多次接种加强针,可显著降低30%-70%的长新冠症状。
参与者还自我报告了更多的细菌、流感和支原体感染,8%-10%的参与者感觉自己患上了SARS-CoV-2诱发的慢性疾病。
总的来说,这项大规模调查数据表明,在68200名中国参与者(包括反复感染)中,约10%-30%在过去一年中出现了长新冠症状。基于这些报道的长新冠症状和现有知识,长新冠引起的长期症状,例如慢性疲劳、认知能力下降等,以及其他慢性疾病可能会在未来几年增加全球医疗负担。研究团队提醒道,重视长新冠的诊断和治疗,并考虑已识别的风险和保护因素,加强对感染者的监测至关重要。



