近日,来自布里斯托大学的David J Nutt 和Emma SJ Robinson研究团队利用情感偏差行为测试,量化了氯胺酮、东莨菪碱、裸盖菇素等3种速效抗抑郁药物对大鼠负面情感偏差的影响,从神经心理学方面讨论了速效抗抑郁药物的急性和持续效应。
研究发现,氯胺酮、东莨菪碱和裸盖菇素均可以改善大鼠的负面情感偏差。低剂量的氯胺酮和裸盖菇素可以在用药24小时后逆转负面情感偏差,其中裸盖菇素与奖励记忆的形成有关。
研究发表在Science Translational Medicine上[1]。

动物转化测试一直是精神病学开发新疗法的主要障碍之一,抑郁症等情感障碍疾病的基础生物学、药物靶点确定以及疗效评估等尤其受到动物实验可用性的严重限制。为了能够测量、评估动物的情感偏向,Emma SJ Robinson团队在2013年提出了一种新的情感偏向测试模型[2]。
模型利用食物碗中的不同垫料和食物来区分大鼠的情感偏向,大鼠需要自己向下挖掘垫料来获得食物。通过训练将不同情绪(积极、消极或中立)与垫料种类配对,测试过程中,通过大鼠自主选择的垫料种类和获得食物的数量来量化大鼠的情感偏向。

在此次试验过程中,研究人员使用苯二氮卓反向激动剂诱导大鼠的负面情感偏差,再使用速效抗抑郁药物对大鼠进行治疗。一般剂量的氯胺酮(1.0mg/kg)和裸盖菇素(0.1,0.3mg/kg),以及高剂量的裸盖菇素(1.0mg/kg)和东莨菪碱(0.1mg/kg)均可以减轻大鼠的负面情感偏差。

速效抗抑郁药物改善大鼠的减轻大鼠的负面情感偏差
为了避免大鼠是因为学习或记忆受损才出现的情感偏向转变,研究人员还特地将接受了抗抑郁药物的大鼠与对照组大鼠进行了对比,发现抗抑郁药物的情感偏向效用并不依赖于学习或记忆受损。但是这仅限于药物的普通剂量,接受超高剂量氯胺酮(25mg/kg)的大鼠出现了记忆非特异性效应,大鼠的记忆功能受到了广泛影响。
用药24小时后进行实验,依然可以观察到负面情感偏差的改善甚至逆转。接受裸盖菇素的大鼠还表现出对奖励记忆的偏向。

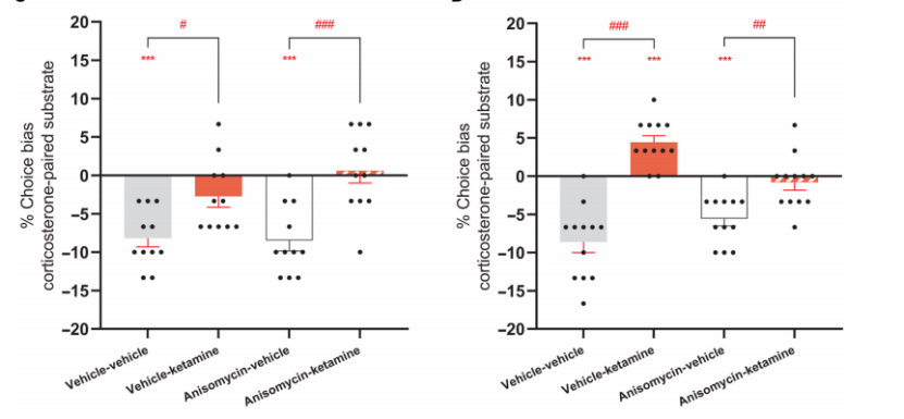
蛋白质合成抑制剂削弱速效抗抑郁药物作用
为了搞清楚要抑郁药物影响情感偏向的具体机制,研究人员选择氯胺酮进行接下来的实验。他们发现,给大鼠的前额叶皮质注射氯胺酮与全身给药的效果类似,注射蛋白质合成抑制剂可以削弱氯胺酮给药24小时带来的正向情感偏差,但是不会对急性负面情感偏差改善造成影响。这说明,两种情绪偏向变化可能存在不同的基础机制。
总的来说,研究表明,在大鼠中,情感偏向调节是速效抗抑郁药物的共有神经心理机制,可能通过对负面情感偏差的急性和持续效用实现情绪调控,情感偏向测试和大鼠模型有助于探索这些效用的潜在生物学机制和依赖性因素。
此外,研究再次强有力地证明了这些抗抑郁药物的快速和持续抗抑郁效用是基于特定的生物学机制,而不是仅仅出于致幻效应导致的安慰剂反应。研究人员猜想,裸盖菇素在临床上表现出的长期抗抑郁效用可能是通过调节负面情感偏差、促进奖励记忆形成实现的。
参考文献:
[1] Hinchcliffe J K, Stuart S A, Wood C M, et al. Rapid-acting antidepressant drugs modulate affective bias in rats[J]. Science Translational Medicine, 2024, 16(729): eadi2403.
[2] Stuart S A, Butler P, Munafo M R, et al. A translational rodent assay of affective biases in depression and antidepressant therapy[J]. Neuropsychopharmacology, 2013, 38(9): 1625-1635.



