摘要:世界正处于由新型冠状病毒引起的大流行之中,正拼命寻找可能的治疗方法。抗病毒瑞德西韦在体外和最近的动物研究中均显示出抗SARS-CoV-2的有效性。我们利用恒河猴体内瑞德西韦的研究数据拟合病毒动力学模型,试图确定瑞德西韦作用的最合适的数学描述。我们发现病毒衰变率在统计学上有显著差异,并以此为基础,提出了瑞德西韦作用的可能数学公式。不幸的是,这一模型表明,瑞德西韦的应用会延长SARS-CoV-2感染的时间,从而使其潜在的临床效益受到质疑。
关键词:COVID-19 冠状病毒 抗病毒 治疗 数学模型
简介:目前正在研究几种广谱抗病毒药物来治疗SARS-CoV-2,但迄今为止最有希望的药物之一是瑞德西韦,该药最近已获得FDA的紧急使用许可,用于SARS-CoV-2的治疗。瑞德西韦最初作为治疗埃博拉病毒的一种可能的疗法,但很快被发现对许多不同的病毒家族有广泛的抗病毒作用,包括冠状病毒。瑞德西韦在冠状病毒中的作用机制是干扰RNA依赖性RNA聚合酶(RdRp),特别是鼠肝炎病毒中的nsp12聚合酶,中东呼吸系统综合症病毒中的nsp8和nsp12以及新型SARS-CoV-2中的nsp7。该药物在体外以及动物研究中均显示出抗SARS-CoV-2的功效。尽管已经注意到一些不良事件,但有一些证据表明该药可对患者产生临床益处。一项小规模的观察研究发现,68%的瑞德西韦治疗患者的临床症状有所改善。不幸的是,一项完整的临床试验显示,瑞德西韦治疗重症COVID患者的益处甚微,不良事件增多,因此瑞德西韦的疗效仍存在不确定性。虽然需要进行体外、临床前和临床研究来确定瑞德西韦治疗COVID-19的有效性,但数学模型和计算机模拟有助于进一步了解瑞德西韦如何与SARS-CoV-2病毒相互作用以及如何改变病毒动力学。已使用数学模型来指导其他药物治疗SARS-CoV-2。病毒动力学模型以前也被用于研究其他急性传染病的治疗,如流感。这种建模有助于阐明抗病毒机制,量化抗病毒功效并研究治疗时机,因此该方法学可能有助于开发抗击这种流行病的工具。最近的两项研究使用数学模型来解释为什么瑞德西韦似乎对鼻和肺滴度有不同的影响,并评估了不同治疗时间对病毒时间进程的影响。我们使用SARS-CoV-2感染并用瑞德西韦治疗的恒河猴的数据拟合病毒动力学模型,并确定瑞德昔韦对SARS-CoV-2病毒时程的影响。分析发现治疗组和对照组之间唯一具有统计学意义的差异是瑞德西韦治疗组感染细胞死亡速度减慢导致的病毒衰变速度减慢。这就产生了一个药物效应的数学模型,可以预测瑞德西韦治疗的感染持续时间更长。
数学模型:我们使用两种模型来帮助表征未经治疗的猕猴以及用瑞德昔韦治疗的猕猴的感染情况。 第一个模型是病毒时间过程的经验描述。尽管没有提供对可能受抗病毒治疗影响的生物学过程的任何见解,但该模型使我们能够量化病毒滴度曲线的不同方面。该模型方程式:
和
分别是指数增长率和衰减率;
是病毒滴度的峰值;
是病毒滴度达到峰值的时间。
我们将使用的第二个模型是由常微分方程(ODE)组成的病毒动力学模型。这个模型最初是用来描述流感病毒感染的。

在该模型中,靶细胞T被感染,I,当它们遇到病毒时,以β速率被感染,被感染细胞以p速率产生病毒,以δ速率死亡。病毒丧失传染性的速度为c。除了通过模型与数据的拟合来估计模型参数外,我们还研究了从模型参数中导出的两个额外的量。基本复制数,
代表完全易感人群中单个感染细胞引起的继发感染数量。 感染时间
表示从一个细胞释放病毒到感染另一个细胞的平均时间。
实验数据:Williamson等人对瑞德西韦治疗SARS-CoV-2感染的恒河猴的有效性进行了研究。简而言之,通过鼻内,口服,眼内和气管内途径用总剂量2.6的SARS-CoV-2的nCoV-WA1-2020株接种了12只恒河猴。每天用鼻拭子取样连续7天。在感染后12小时 6只动物开始使用瑞德西韦治疗。给予这些动物10毫克/千克的瑞德西韦,然后每日维持剂量为5毫克/千克。其他6只动物作为感染对照,在同一时间给予等量的安慰剂溶液。由于我们无法准确估计病毒载量的衰减率,因此将两只动物(每个治疗组一只动物)排除在本研究之外。
数据拟合:模型通过最小化残差平方和(SSR)来拟合数据,

其中n是实验数据点的数目,
是实验数据点的值,
是测量实验数据时的模型预测值。SSR表明模型与实验数据非常吻合。我们将目标细胞的初始数目固定为1,这意味着细胞是相对于细胞总数进行测量的。病毒的初始数量也设置为1拷贝/ mL。猕猴的初始接种量为2.6×1010TCID50,但第0天鼻拭子测量返回的值低于检测水平,并设置为1拷贝/ mL。 由于δ和c不能仅通过病毒滴度数据来区分,因此我们进一步设定C=10/d.为了估计参数的95%置信区间,我们使用最佳拟合的残差执行1000次引导复制来生成新的数据集。
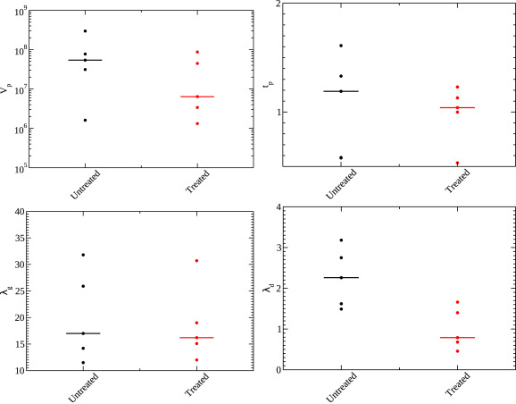
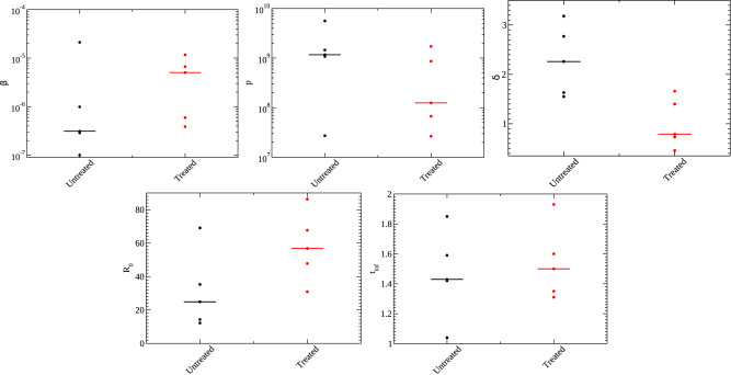
结果:瑞德西韦对病毒动力学的影响:实验数据以及与数据的模型拟合如图1所示。治疗和对照动物的估计参数值的比较如图2所示为经验模型,图3为病毒动力学模型。虽然参数分布通常具有明确定义的最大值,但参数相关图显示了某些参数之间的相关性。特别是,对于经验模型,许多动物的高峰时间和生长速率相关,并且在将所有动物自举结果汇总在一起时显示出总体相关性。对于病毒动力学模型,我们可以看到所有参数之间的相关性,当所有动物绘制在一起时,这些参数变得更加明显。

图1、模型与实验数据吻合

图2.未治疗(黑色)和治疗(红色)动物的经验模型参数。

图3.未处理(黑色)和已治疗(红色)动物的ODE模型参数
奇怪的是,我们的研究结果显示治疗组的衰变率较低,这意味着病毒在接受治疗的动物体内比未经治疗的动物体内停留的时间更长。对于病毒动力学模型,我们看到治疗动物的感染率增加,尽管这在统计学上不显著。感染率的增加与生产率的降低大致相同,因此两组之间的感染时间基本相同。治疗组的基本繁殖数增加,尽管这在统计学上不显著。这种差异是由两组间感染细胞死亡率的统计显著差异引起的。再次发现,治疗动物的死亡率较低,与经验模型中发现的病毒衰变率降低一致,但表明受感染细胞在治疗动物体内的存活时间比未治疗的动物长。
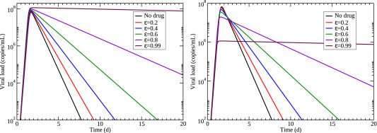
瑞德西韦的数学模型:通过使用药物功效ε将药物的作用添加到病毒动力学模型中,ε是介于0和1之间的数字,代表因药物引起的特定参数值的降低。我们对瑞德西韦在猕猴中的应用的分析表明,瑞德西韦降低了感染细胞的死亡率。随着药物功效的增加,病毒载量峰值会略有增加,这与上一节的发现相反。 病毒载量的衰减也较慢,与上一节的结果一致。这似乎是一种无效的药物-随着更多的药物应用(疗效增加),感染持续时间更长。

图4、只降低感染细胞死亡率的药物(左)或降低感染细胞死亡率、增加感染率和降低生产率的药物(右)。
另一种可能性是,根据我们对前一节的分析,瑞德西韦可能会对多个参数产生影响。虽然没有统计学意义,但瑞德西韦似乎增加了感染率和降低了生产率。我们假设特定剂量的药物对这三个参数的影响是相等的,即它们的变化量是相同的。在这种情况下,增加药物用量会降低病毒峰,与上一节的结果一致。 随着药物的应用,病毒滴度的衰减率仍然降低。两种药物模型之间的预测差异如图5所示。最明显的区别在于药物如何影响病毒峰值,其中一个模型假设峰值随着药物效应的增加而增加,而另一个模型假设病毒峰值随着药物效应的增加而降低。后一种假设与恒河猴体内病毒峰值的降低是一致的。不幸的是,两个模型都预测感染的持续时间将随着药物的使用而增加。 虽然药物会影响所有三个参数的模型预测持续时间会略短,但是这两个模型都没有暗示药物对临床有益。

图5、不同药物模型对病毒滴度特征的预测作用。
在本文中,我们使用病毒滴度曲线和病毒动力学模型的经验描述来分析瑞姆昔韦治疗恒河猴。 我们发现,与对照组相比,瑞德西韦治疗的猕猴的病毒载量峰值减少,峰时间减少,感染率增加和生产率降低,尽管这些均无统计学意义。
原文出自:https://www.sciencedirect.com/science/article/pii/S0042682220301422



